Online Database of Chemicals from Around the World

Bastadin 14
[CAS 146345-73-5]

Suppliers
CAS#: 146345-73-5
Product: Bastadin 14
No suppilers available for the product.
Identification
Name Bastadin 14
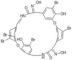
Synonyms (12E,25E,28E)-5,16,21,32,33-pentabromo-4,20-dihydroxy-12,25-bis(hydroxyimino)-2,18-dioxa-10,27-diazapentacyclo(28.2.2.214,17.13,7.119,23)octatriaconta-1(32),3,5,7(38),14,16,19,21,23(35),28,30,33,36-tridecaene-11,26-dione; 2,18-Dioxa-10,27-Diazapentacyclo(28.2.2.2(14,17),1(19,23))Octatriconta-3,5,7(38),14,16,19,21,23(35),28,30,32,33,36-Tridecaene-11,12,25,26-Tetrone, 5,16,21,32,33-Pentabromo-4,20-Dihydroxy-, 12,15-Bis(D-Methyloxime), (E,E,?)-
Molecular Structure CAS#: 146345-73-5, Bastadin 14
Molecular Formula C34H25Br5N4O8
Molecular Weight 1017.11
CAS Registry Number 146345-73-5
SMILES O=C3N\C=C/C5=CC(=C(OC1=CC(=CC(=C1O)Br)CCNC(=O)C(=N/O)/CC4=CC=C(OC2=CC(=CC(=C2O)Br)C\C3=N/O)C(=C4)Br)C(=C5)Br)Br
InChI 1S/C34H25Br5N4O8/c35-20-7-16-1-2-27(20)50-28-15-19(11-22(37)30(28)44)13-26(43-49)34(47)40-5-3-17-9-23(38)32(24(39)10-17)51-29-14-18(8-21(36)31(29)45)4-6-41-33(46)25(12-16)42-48/h1-3,5,7-11,14-15,44-45,48-49H,4,6,12-13H2,(H,40,47)(H,41,46)/b5-3-,42-25+,43-26+
InChIKey HXWATZFIMWEHEG-YUALJMAISA-N
Properties
Density 1.979g/cm3 (Cal.)
Market Analysis Reports
Related Products
Basic Yellow 87...  Basiliximab;CHI...  Basil oil;Basil...  Basimglurant;2-...  Basketane  Basmisanil;(1,1...  Bassianolide;3,...  Bassic Acid;(4A...  Bastadin 10  Bastadin-12;Bas...  Bastadin 5;5,16...  Bastadin 8;Bast...  Bastadin 9;Bast...  Batabulin sodiu...  Batatasin IV;3-...  Batefenterol;Bi...  Batefenterol su...  Batelapine;2-Me...  Bathocuproin;2,...  Bathocuproinedi...