Online Database of Chemicals from Around the World

4-Amino-2-[4,6-Diamino-3-[6-(Aminomethyl)-4-Chloro-3,5-Dihydroxyoxan-2-Yl]Oxy-2-Hydroxycyclohexyl]Oxy-6-(Hydroxymethyl)Oxane-3,5-Diol
[CAS 139978-80-6]

Suppliers
Achemica Switzerland
+41 (24) 466-2929
contact@achemica.com
Chemical manufacturer since 2010
Identification
Name 4-Amino-2-[4,6-Diamino-3-[6-(Aminomethyl)-4-Chloro-3,5-Dihydroxyoxan-2-Yl]Oxy-2-Hydroxycyclohexyl]Oxy-6-(Hydroxymethyl)Oxane-3,5-Diol
Synonyms 4-Amino-2-[4,6-Diamino-3-[6-(Aminomethyl)-4-Chloro-3,5-Dihydroxy-Tetrahydropyran-2-Yl]Oxy-2-Hydroxy-Cyclohexoxy]-6-(Hydroxymethyl)Tetrahydropyran-3,5-Diol; 4-Amino-2-[4,6-Diamino-3-[[6-(Aminomethyl)-4-Chloro-3,5-Dihydroxy-2-Tetrahydropyranyl]Oxy]-2-Hydroxycyclohexoxy]-6-(Hydroxymethyl)Tetrahydropyran-3,5-Diol; 4-Amino-2-[4,6-Diamino-3-[6-(Aminomethyl)-4-Chloro-3,5-Dihydroxy-Tetrahydropyran-2-Yl]Oxy-2-Hydroxy-Cyclohexoxy]-6-Methylol-Tetrahydropyran-3,5-Diol
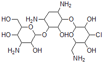
Molecular Structure CAS#: 139978-80-6, 4-Amino-2-[4,6-Diamino-3-[6-(Aminomethyl)-4-Chloro-3,5-Dihydroxyoxan-2-Yl]Oxy-2-Hydroxycyclohexyl]Oxy-6-(Hydroxymethyl)Oxane-3,5-Diol
Molecular Formula C18H35ClN4O10
Molecular Weight 502.95
CAS Registry Number 139978-80-6
SMILES C(N)C3OC(OC2C(O)C(OC1OC(C(O)C(N)C1O)CO)C(N)CC2N)C(O)C(Cl)C3O
InChI 1S/C18H35ClN4O10/c19-8-10(25)6(2-20)30-17(12(8)27)32-15-4(21)1-5(22)16(14(15)29)33-18-13(28)9(23)11(26)7(3-24)31-18/h4-18,24-29H,1-3,20-23H2
InChIKey QAEUOFZUFKQKED-UHFFFAOYSA-N
Properties
Density 1.614g/cm3 (Cal.)
Boiling point 833.934°C at 760 mmHg (Cal.)
Flash point 458.147°C (Cal.)
Market Analysis Reports
Related Products
(4xi)-2-Amino-2...  rac 4-Amino Dep...  7-Aminodesaceto...  7-Aminodesmethy...  2-Amino-6,7-Dia...  4-Amino-1-(3,5-...  4-Amino-2-[4,6-...  (2S)-4-Amino-N-...  5-amino-6-[4,6-...  5-Amino-6-[4,6-...  4-Amino-2-[4,6-...  4-Amino-2-[4,6-...  (2S)-4-amino-N-...  4-Amino-2-[[2-(...  2-Amino-N-(6,10...  6-[[Amino-[(3,5...  7-Amino-2-[(4Z)...  (2S)-N-[(2S)-4-...  4-Amino-7-(Diam...  (E)-2-Amino-5-(...