Online Database of Chemicals from Around the World

4-Amino-2-[[2-(2,4-Diaminobutanoylamino)-3-Hydroxybutanoyl]Amino]-N-[6,9,18-Tris(2-Aminoethyl)-3-(1-Hydroxyethyl)-12-(2-Methylpropyl)-2,5,8,11,14,17,20-Heptaoxo-15-(Phenylmethyl)-1,4,7,10,13,16,19-Heptazacyclotricos-21-Yl]Butanamide
[CAS 76014-40-9]

Suppliers
CAS#: 76014-40-9
Product: 4-Amino-2-[[2-(2,4-Diaminobutanoylamino)-3-Hydroxybutanoyl]Amino]-N-[6,9,18-Tris(2-Aminoethyl)-3-(1-Hydroxyethyl)-12-(2-Methylpropyl)-2,5,8,11,14,17,20-Heptaoxo-15-(Phenylmethyl)-1,4,7,10,13,16,19-Heptazacyclotricos-21-Yl]Butanamide
No suppilers available for the product.
Identification
Name 4-Amino-2-[[2-(2,4-Diaminobutanoylamino)-3-Hydroxybutanoyl]Amino]-N-[6,9,18-Tris(2-Aminoethyl)-3-(1-Hydroxyethyl)-12-(2-Methylpropyl)-2,5,8,11,14,17,20-Heptaoxo-15-(Phenylmethyl)-1,4,7,10,13,16,19-Heptazacyclotricos-21-Yl]Butanamide
Synonyms 4-Amino-2-[[2-(2,4-Diaminobutanoylamino)-3-Hydroxy-Butanoyl]Amino]-N-[6,9,18-Tris(2-Aminoethyl)-3-(1-Hydroxyethyl)-12-Isobutyl-2,5,8,11,14,17,20-Heptaoxo-15-(Phenylmethyl)-1,4,7,10,13,16,19-Heptazacyclotricos-21-Yl]Butanamide; 4-Amino-2-[[2-[(2,4-Diamino-1-Oxobutyl)Amino]-3-Hydroxy-1-Oxobutyl]Amino]-N-[6,9,18-Tris(2-Aminoethyl)-3-(1-Hydroxyethyl)-12-Isobutyl-2,5,8,11,14,17,20-Heptaoxo-15-(Phenylmethyl)-1,4,7,10,13,16,19-Heptazacyclotricos-21-Yl]Butanamide; 4-Amino-2-[[2-(2,4-Diaminobutanoylamino)-3-Hydroxy-Butanoyl]Amino]-N-[6,9,18-Tris(2-Aminoethyl)-15-(Benzyl)-3-(1-Hydroxyethyl)-12-Isobutyl-2,5,8,11,14,17,20-Heptaketo-1,4,7,10,13,16,19-Heptazacyclotricos-21-Yl]Butyramide
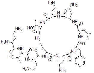
Molecular Structure CAS#: 76014-40-9, 4-Amino-2-[[2-(2,4-Diaminobutanoylamino)-3-Hydroxybutanoyl]Amino]-N-[6,9,18-Tris(2-Aminoethyl)-3-(1-Hydroxyethyl)-12-(2-Methylpropyl)-2,5,8,11,14,17,20-Heptaoxo-15-(Phenylmethyl)-1,4,7,10,13,16,19-Heptazacyclotricos-21-Yl]Butanamide
Molecular Formula C47H82N16O12
Molecular Weight 1063.26
CAS Registry Number 76014-40-9
SMILES C2=C(CC1NC(=O)C(NC(=O)C(NC(=O)C(NC(=O)C(NC(=O)C(N)CCN)C(O)C)CCN)CCNC(=O)C(NC(=O)C(NC(=O)C(NC(=O)C(NC1=O)CC(C)C)CCN)CCN)C(O)C)CCN)C=CC=C2
InChI 1S/C47H82N16O12/c1-24(2)22-34-44(72)57-29(11-17-49)39(67)56-32(14-20-52)43(71)63-36(25(3)64)46(74)54-21-15-33(58-40(68)31(13-19-51)59-47(75)37(26(4)65)62-38(66)28(53)10-16-48)42(70)55-30(12-18-50)41(69)61-35(45(73)60-34)23-27-8-6-5-7-9-27/h5-9,24-26,28-37,64-65H,10-23,48-53H2,1-4H3,(H,54,74)(H,55,70)(H,56,67)(H,57,72)(H,58,68)(H,59,75)(H,60,73)(H,61,69)(H,62,66)(H,63,71)
InChIKey RCCHKUZHMOHRGB-UHFFFAOYSA-N
Properties
Density 1.333g/cm3 (Cal.)
Boiling point 1541.288°C at 760 mmHg (Cal.)
Flash point 885.939°C (Cal.)
Market Analysis Reports
Related Products
2-Amino-6,7-Dia...  4-Amino-1-(3,5-...  4-Amino-2-[4,6-...  (2S)-4-Amino-N-...  5-amino-6-[4,6-...  5-Amino-6-[4,6-...  4-Amino-2-[4,6-...  4-Amino-2-[4,6-...  4-Amino-2-[4,6-...  (2S)-4-amino-N-...  2-Amino-N-(6,10...  6-[[Amino-[(3,5...  7-Amino-2-[(4Z)...  (2S)-N-[(2S)-4-...  4-Amino-7-(Diam...  (E)-2-Amino-5-(...  (3S)-3-Amino-4-...  2-Amino-5-(Diam...  2-Amino-5-(Diam...  (2S)-2-Amino-5-...