Online Database of Chemicals from Around the World

(3R,4S,5S,6R)-6-[[(2R,3S,4S,5R)-3,4-Dihydroxy-2,5-Bis(Hydroxymethyl)Oxolan-2-Yl]Oxymethyl]Oxane-2,3,4,5-Tetrol
[CAS 146276-11-1]

Suppliers
CAS#: 146276-11-1
Product: (3R,4S,5S,6R)-6-[[(2R,3S,4S,5R)-3,4-Dihydroxy-2,5-Bis(Hydroxymethyl)Oxolan-2-Yl]Oxymethyl]Oxane-2,3,4,5-Tetrol
No suppilers available for the product.
Identification
Name (3R,4S,5S,6R)-6-[[(2R,3S,4S,5R)-3,4-Dihydroxy-2,5-Bis(Hydroxymethyl)Oxolan-2-Yl]Oxymethyl]Oxane-2,3,4,5-Tetrol
Synonyms (3R,4S,5S,6R)-6-[[(2R,3S,4S,5R)-3,4-Dihydroxy-2,5-Bis(Hydroxymethyl)Tetrahydrofuran-2-Yl]Oxymethyl]Tetrahydropyran-2,3,4,5-Tetrol; (3R,4S,5S,6R)-6-[[(2R,3S,4S,5R)-3,4-Dihydroxy-2,5-Bis(Hydroxymethyl)-2-Tetrahydrofuranyl]Oxymethyl]Tetrahydropyran-2,3,4,5-Tetrol; (3R,4S,5S,6R)-6-[[(2R,3S,4S,5R)-3,4-Dihydroxy-2,5-Dimethylol-Tetrahydrofuran-2-Yl]Oxymethyl]Tetrahydropyran-2,3,4,5-Tetrol
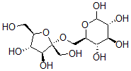
Molecular Structure CAS#: 146276-11-1, (3R,4S,5S,6R)-6-[[(2R,3S,4S,5R)-3,4-Dihydroxy-2,5-Bis(Hydroxymethyl)Oxolan-2-Yl]Oxymethyl]Oxane-2,3,4,5-Tetrol
Molecular Formula C12H22O11
Molecular Weight 342.30
CAS Registry Number 146276-11-1
SMILES [C@]1([C@H]([C@H](O)[C@H](O1)CO)O)(OC[C@H]2OC([C@H](O)[C@H]([C@@H]2O)O)O)CO
InChI 1S/C12H22O11/c13-1-4-7(16)10(19)12(3-14,23-4)21-2-5-6(15)8(17)9(18)11(20)22-5/h4-11,13-20H,1-3H2/t4-,5-,6-,7-,8+,9-,10+,11?,12-/m1/s1
InChIKey VQVUTGNNCTVJST-AGPGFAMGSA-N
Properties
Density 1.775g/cm3 (Cal.)
Boiling point 684.116°C at 760 mmHg (Cal.)
Flash point 367.54°C (Cal.)
Market Analysis Reports
Related Products
1,8-Dihydroxy-4...  1,5-dihydroxy-4...  1,4-Dihydroxy-5...  1,4-Dihydroxy-5...  1,5-Dihydroxy-4...  1,8-Dihydroxy-4...  [(2S,3S,4S,5R)-...  1-[(2R,3R,4S,5R...  (2R,3R,4S,5S,6R...  (2R,3S,4S,5S,6R...  (2R,3R,4S,5S,6S...  6-[[6-[3,4-Dihy...  [(2R,3S,4S,5R)-...  (4R,5S,6S,7R)-5...  (4S,5R,6R,7S)-5...  5,6-Dihydroxy-1...  2,5-Dihydroxy-3...  1-[2,4-Dihydrox...  4,13-Dihydroxy-...  4,9-Dihydroxy-6...