Online Database of Chemicals from Around the World

3-O-(Xylopyranosyl-1-2-Glucopyranosyl-1-4)(Glucopyranosyl-1-2-Glucopyranosyl-1-2)-Rhamnopyranosylcyclamiretin A
[CAS 153127-35-6]

Suppliers
CAS#: 153127-35-6
Product: 3-O-(Xylopyranosyl-1-2-Glucopyranosyl-1-4)(Glucopyranosyl-1-2-Glucopyranosyl-1-2)-Rhamnopyranosylcyclamiretin A
No suppilers available for the product.
Identification
Name 3-O-(Xylopyranosyl-1-2-Glucopyranosyl-1-4)(Glucopyranosyl-1-2-Glucopyranosyl-1-2)-Rhamnopyranosylcyclamiretin A
Synonyms Oleanan-29-Al, 13,28-Epoxy-3-((O-Beta-D-Glucopyranosyl-(1-2)-O-Beta-D-Glucopyranosyl-(1-2)-O-(O-Beta-D-Xylopyranosyl-(1-2)-Beta-D-Glucopyranosyl-(1-4))-Alpha-L-Arabinopyranosyl)Oxy)-16-Hydroxy-, (3Beta,16Alpha,20Beta)-
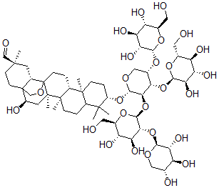
Molecular Structure CAS#: 153127-35-6, 3-O-(Xylopyranosyl-1-2-Glucopyranosyl-1-4)(Glucopyranosyl-1-2-Glucopyranosyl-1-2)-Rhamnopyranosylcyclamiretin A
Molecular Formula C58H94O27
Molecular Weight 1223.36
CAS Registry Number 153127-35-6
SMILES [C@@]34(C1(OCC2([C@@H]1C[C@@](CC2)(C=O)C)[C@H](O)C3)CC[C@H]5[C@]4(CCC%11[C@@]5(CC[C@H](O[C@@H]8OC[C@H](O[C@H]6O[C@@H]([C@@H](O)[C@H](O)[C@H]6O)CO)[C@H](O[C@H]7O[C@@H]([C@@H](O)[C@H](O)[C@H]7O)CO)[C@H]8O[C@@H]9O[C@@H]([C@@H](O)[C@H](O)[C@H]9O[C@@H]%10OC[C@@H](O)[C@H](O)[C@H]%10O)CO)C%11(C)C)C)C)C
InChI 1S/C58H94O27/c1-52(2)29-7-11-55(5)30(8-12-58-31-15-53(3,22-62)13-14-57(31,23-77-58)32(64)16-56(55,58)6)54(29,4)10-9-33(52)82-50-46(85-51-45(40(71)37(68)27(19-61)80-51)84-47-41(72)34(65)24(63)20-75-47)44(83-49-43(74)39(70)36(67)26(18-60)79-49)28(21-76-50)81-48-42(73)38(69)35(66)25(17-59)78-48/h22,24-51,59-61,63-74H,7-21,23H2,1-6H3/t24-,25-,26-,27-,28+,29?,30-,31+,32-,33+,34+,35-,36-,37-,38+,39+,40+,41-,42-,43-,44+,45-,46-,47+,48-,49-,50+,51+,53-,54+,55-,56+,57?,58?/m1/s1
InChIKey OPEWQJDJWKXIPC-OSHGGGOQSA-N
Properties
Density 1.532g/cm3 (Cal.)
Market Analysis Reports
Related Products
D-(1-13  D-Xylopyranose;...  alpha-L-Xylopyr...  beta-L-Xylopyra...  alpha-D-Xylopyr...  L-Xylopyranose ...  beta-L-Xylopyra...  alpha-D-Xylopyr...  beta-Xylopyrano...  O-beta-Xylopyra...  2-O-beta-D-Xylo...  6-O-beta-D-Xylo...  1-(alpha-D-Xylo...  4-O-beta-D-Xylo...  3beta-O-(beta-X...  3-O-((Xylopyran...  O-beta-D-Xylopy...  O-beta-D-Xylopy...  Xylosaccharic a...  D-Xylosamine;2-...