Online Database of Chemicals from Around the World

13-(4-Benzoyl-D-phenylalanine)-19-L-tyrosine-melanin-concentrating hormone (human)
[CAS 183606-10-2]

List of Suppliers
Creative Peptides USA
www.creative-peptides.com
+1 (631) 624-4882
+1 (631) 614-7828
info@creative-peptides.com
Chemical manufacturer
chemBlink Standard supplier since 2010

Identification
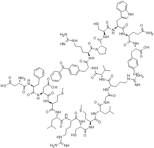
Name13-(4-Benzoyl-D-phenylalanine)-19-L-tyrosine-melanin-concentrating hormone (human)
Molecular Structure13-(4-Benzoyl-D-phenylalanine)-19-L-tyrosine-melanin-concentrating hormone (human) molecular structure (CAS 183606-10-2)
Molecular FormulaC116H164N30O27S4
Molecular Weight2538.99
CAS Registry Number183606-10-2
Properties
Density1.47±0.1 g/cm3 (20 °C 760 Torr), Calc.*
*Calculated using Advanced Chemistry Development (ACD/Labs) Software V11.02 (©1994-2016 ACD/Labs)
Market Analysis Reports
Related Products
D-4-Benzoylphen...  N-Benzoyl-L-phe...  N-Benzoyl-DL-ph...  N-Benzoyl-D-phe...  N-Benzoyl-L-Phe...  DL-N-Benzoyl-3-...  4-Benzoyl-D,L-p...  (S)-N-Benzoylph...  N-Benzoyl-Pheny...  8-(4-Benzoyl-L-...  Benzoylphenylal...  N-Benzoyl-L-phe...  N-Benzoyl-L-phe...  2-[(3-Benzoylph...  4-[Benzoyl(phen...  2-[[2-(Benzoyl)...  N-(Benzoyl)-N-P...  N-(4-Benzoylphe...  4-Benzoylphenyl...  N-(2-Benzoylphe...