全球化学品在线数据库

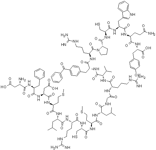
13-(4-苯甲酰基-D-苯丙氨酸)-19-L-酪氨酸-黑色素-聚集激素 (人)
[CAS 183606-10-2]

供应商目录
Creative Peptides 美国
www.creative-peptides.com
+1 (631) 624-4882
+1 (631) 614-7828
info@creative-peptides.com
化学品生产商
chemBlink 标准供应商 (2010年起)

基本信息
产品名称13-(4-苯甲酰基-D-苯丙氨酸)-19-L-酪氨酸-黑色素-聚集激素 (人)
英文名13-(4-Benzoyl-D-phenylalanine)-19-L-tyrosine-melanin-concentrating hormone (human)
分子结构13-(4-苯甲酰基-D-苯丙氨酸)-19-L-酪氨酸-黑色素-聚集激素 (人)分子结构 (CAS 183606-10-2)
分子式C116H164N30O27S4
分子量2538.99
CAS 登录号183606-10-2
物理化学性质
密度1.47±0.1 g/cm3 (20 °C 760 Torr), 计算值*
*使用计算机软件 Advanced Chemistry Development (ACD/Labs) Software V11.02 (©1994-2016 ACD/Labs)
市场分析报告
相关产品
N-苯甲酰基蛋氨酸  N-苯甲酰基-蛋氨酸  苯甲酰基-蛋氨酰胺  1-苯甲酰基氮丙啶  苯甲酰基胆碱碘化物  3-苯甲酰基胆酸  1-苯甲酰基氮杂环庚-2-酮  7-苯甲酰基-7-氮杂双环[4...  Fmoc-4-苯甲酰基-D-苯...  N-苯甲酰基-D-苯丙氨酸  N-苯甲酰基-D-丙氨酰-D-...  苯甲酰基叠氮化物  (-)-17-(4-苯甲酰基丁...  4-[[4-(苯甲酰基丁基氨基...  2-苯甲酰基丁醛  苯甲酰基-D-精氨酰-对硝基苯...  苯甲酰基-DL-alpha-丙...  N-苯甲酰基-DL-苯丙氨酸  N-苯甲酰基-DL-丙氨酸  N-苯甲酰基-DL-谷氨酸