Online Database of Chemicals from Around the World

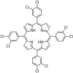
Tetra(3,4-dichlorophenyl)porphine
[CAS 32350-86-0]

List of Suppliers
BOC Sciences USA
www.bocsci.com
+1 (631) 485-4226
+1 (631) 614-7828
info@bocsci.com
Chemical manufacturer
chemBlink Standard supplier since 2010

Identification
NameTetra(3,4-dichlorophenyl)porphine
Synonyms5,10,15,20-Tetrakis(3,4-dichlorophenyl)porphine
Molecular StructureTetra(3,4-dichlorophenyl)porphine molecular structure (CAS 32350-86-0)
Molecular FormulaC44H22Cl8N4
Molecular Weight890.30
CAS Registry Number32350-86-0
Properties
Density1.519
Market Analysis Reports
Related Products
Tetradehydropod...  9,10,16,17-Tetr...  1,2,3,5-Tetrade...  2,3,5,6-Tetrade...  2,2,6,6-Tetrade...  2,3,4,5-Tetrade...  Tetradeuteroamm...  Tetradeuteromet...  3,3,5,5-Tetrade...  Tetra(2,2-diall...  1,1,3,3-tetra(d...  Tetradifon  Tetra[4-(dihydr...  1,1,3,3-Tetra(D...  5,10,15,20-TETR...  Tetradodecylamm...  Tetra-n-Dodecyl...  Tetra-N-Dodecyl...  Tetradodecylamm...  N,N,N',N'-Tetra...