Online Database of Chemicals from Around the World

4-Amino-2-[(2-Amino-3-Hydroxybutanoyl)Amino]-N-[6,9,18-Tris(2-Aminoethyl)-3-(1-Hydroxyethyl)-12,15-Bis(2-Methylpropyl)-2,5,8,11,14,17,20-Heptaoxo-1,4,7,10,13,16,19-Heptazacyclotricos-21-Yl]Butanamide
[CAS 32530-94-2]

Suppliers
CAS#: 32530-94-2
Product: 4-Amino-2-[(2-Amino-3-Hydroxybutanoyl)Amino]-N-[6,9,18-Tris(2-Aminoethyl)-3-(1-Hydroxyethyl)-12,15-Bis(2-Methylpropyl)-2,5,8,11,14,17,20-Heptaoxo-1,4,7,10,13,16,19-Heptazacyclotricos-21-Yl]Butanamide
No suppilers available for the product.
Identification
Name 4-Amino-2-[(2-Amino-3-Hydroxybutanoyl)Amino]-N-[6,9,18-Tris(2-Aminoethyl)-3-(1-Hydroxyethyl)-12,15-Bis(2-Methylpropyl)-2,5,8,11,14,17,20-Heptaoxo-1,4,7,10,13,16,19-Heptazacyclotricos-21-Yl]Butanamide
Synonyms 4-Amino-2-[(2-Amino-3-Hydroxy-Butanoyl)Amino]-N-[6,9,18-Tris(2-Aminoethyl)-3-(1-Hydroxyethyl)-12,15-Diisobutyl-2,5,8,11,14,17,20-Heptaoxo-1,4,7,10,13,16,19-Heptazacyclotricos-21-Yl]Butanamide; 4-Amino-2-[(2-Amino-3-Hydroxy-1-Oxobutyl)Amino]-N-[6,9,18-Tris(2-Aminoethyl)-3-(1-Hydroxyethyl)-12,15-Diisobutyl-2,5,8,11,14,17,20-Heptaoxo-1,4,7,10,13,16,19-Heptazacyclotricos-21-Yl]Butanamide; 4-Amino-2-[(2-Amino-3-Hydroxy-Butanoyl)Amino]-N-[6,9,18-Tris(2-Aminoethyl)-3-(1-Hydroxyethyl)-12,15-Diisobutyl-2,5,8,11,14,17,20-Heptaketo-1,4,7,10,13,16,19-Heptazacyclotricos-21-Yl]Butyramide
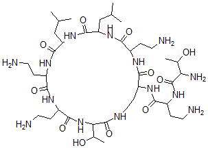
Molecular Structure CAS#: 32530-94-2, 4-Amino-2-[(2-Amino-3-Hydroxybutanoyl)Amino]-N-[6,9,18-Tris(2-Aminoethyl)-3-(1-Hydroxyethyl)-12,15-Bis(2-Methylpropyl)-2,5,8,11,14,17,20-Heptaoxo-1,4,7,10,13,16,19-Heptazacyclotricos-21-Yl]Butanamide
Molecular Formula C40H76N14O11
Molecular Weight 929.13
CAS Registry Number 32530-94-2
SMILES C(C1NC(=O)C(NC(=O)C(NC(=O)C(NC(=O)C(N)C(O)C)CCN)CCNC(=O)C(NC(=O)C(NC(=O)C(NC(=O)C(NC1=O)CC(C)C)CCN)CCN)C(O)C)CCN)C(C)C
InChI 1S/C40H76N14O11/c1-19(2)17-28-37(62)49-23(7-12-41)32(57)48-26(10-15-44)36(61)54-31(22(6)56)40(65)46-16-11-27(50-33(58)25(9-14-43)51-39(64)30(45)21(5)55)35(60)47-24(8-13-42)34(59)52-29(18-20(3)4)38(63)53-28/h19-31,55-56H,7-18,41-45H2,1-6H3,(H,46,65)(H,47,60)(H,48,57)(H,49,62)(H,50,58)(H,51,64)(H,52,59)(H,53,63)(H,54,61)
InChIKey WNPBEUWOUYCJJR-UHFFFAOYSA-N
Properties
Density 1.296g/cm3 (Cal.)
Boiling point 1416.577°C at 760 mmHg (Cal.)
Flash point 810.516°C (Cal.)
Market Analysis Reports
Related Products
2-Amino-5-(2-am...  (R)-3-(Amino(3-...  (2S)-2-Amino-N-...  (2R)-2-Amino-6-...  2-Amino-5-[(3-A...  (2S)-2-[[(2R)-2...  1-[6-Amino-2-[(...  1-[6-Amino-2-[(...  (2S)-2-[[(2S)-1...  (2R,5S)-5-Amino...  (2S)-6-Amino-2-...  (2S)-2-Amino-6-...  4-Amino-5-[(4-A...  4-Amino-3-({4'-...  (4S-(4alpha,5be...  (2S)-2-Amino-5-...  (2R)-2-Amino-3-...  (2S)-6-Amino-2-...  (2S)-6-Amino-2-...  4-[2-Amino-4-[3...