Online Database of Chemicals from Around the World

Ethoxylated sorbitol
[CAS 53694-15-8]

Suppliers
BOC Sciences USA
+1 (631) 485-4226
info@bocsci.com
Skype Chat
Chemical distributor
chemBlink massive supplier since 2012
Identification
Name Ethoxylated sorbitol
Synonyms 2-[1-[1,2-Bis(2-Hydroxyethoxy)Ethyl]-2,3,4-Tris(2-Hydroxyethoxy)Butoxy]Ethanol; Poly(Oxy-1,2-Ethanediyl), Alpha-Hydro-Omega-Hydroxy-, Ether With D-Glucitol (6:1)
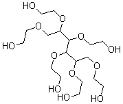
Molecular Structure CAS#: 53694-15-8, Ethoxylated sorbitol
Molecular Formula C18H38O12
Molecular Weight 446.49
CAS Registry Number 53694-15-8
SMILES C(OCCO)C(OCCO)C(OCCO)C(OCCO)C(OCCO)COCCO
InChI 1S/C18H38O12/c19-1-7-25-13-15(27-9-3-21)17(29-11-5-23)18(30-12-6-24)16(28-10-4-22)14-26-8-2-20/h15-24H,1-14H2
InChIKey VDQWQTYEEJHNSB-UHFFFAOYSA-N
Properties
Density 1.274g/cm3 (Cal.)
Boiling point 634.268°C at 760 mmHg (Cal.)
Flash point 337.393°C (Cal.)
Market Analysis Reports
Related Products
Ethoxylated hyd...  Ethoxylated iso...  Ethoxylated lan...  Ethoxylated lau...  Ethoxylated met...  Ethoxylated 2-n...  Ethoxylated-pro...  Ethoxylated pro...  Ethoxylated pro...  Ethoxylated pro...  Ethoxylated p-t...  Ethoxylated Tet...  Ethoxylated tri...  Ethoxylated tri...  Ethoxylithium;L...  4'-Ethoxyl-2,2,...  4-Ethoxy-2-Merc...  5-Ethoxy-2-merc...  2-Ethoxy-3-Mesi...  3-Ethoxymethacr...