Online Database of Chemicals from Around the World

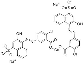
Calcium Disodium Bis[2-Chloro-5-[(2-Hydroxy-1-Naphthyl)Azo]-4-Sulphonatobenzoate]
[CAS 5850-80-6]

Suppliers
BOC Sciences USA
+1 (631) 485-4226
info@bocsci.com
Skype Chat
Chemical distributor
chemBlink massive supplier since 2012
Identification
Name Calcium Disodium Bis[2-Chloro-5-[(2-Hydroxy-1-Naphthyl)Azo]-4-Sulphonatobenzoate]
Synonyms Calcium Disodium 2-Chloro-5-[(N'e)-N'-(2-Oxo-1-Naphthylidene)Hydrazino]-4-Sulfonato-Benzoate; Calcium Disodium 2-Chloro-5-[(N'e)-N'-(2-Oxo-1-Naphthylidene)Hydrazino]-4-Sulfonatobenzoate; Calcium Disodium 2-Chloro-5-[(N'e)-N'-(2-Keto-1-Naphthylidene)Hydrazino]-4-Sulfonato-Benzoate
Molecular Structure CAS#: 5850-80-6, Calcium Disodium Bis[2-Chloro-5-[(2-Hydroxy-1-Naphthyl)Azo]-4-Sulphonatobenzoate]
Molecular Formula C34H18CaCl2N4Na2O12S2
Molecular Weight 895.62
CAS Registry Number 5850-80-6
EINECS 227-456-5
SMILES C1=C\2C(=CC=C1)C=CC(=O)C2=N/NC3=C([S]([O-])(=O)=O)C=C(Cl)C(=C3)C([O-])=O.C4=C\5C(=CC=C4)C=CC(=O)C5=N/NC6=C([S]([O-])(=O)=O)C=C(Cl)C(=C6)C([O-])=O.[Ca++].[Na+].[Na+]
InChI 1S/2C17H11ClN2O6S.Ca.2Na/c2*18-12-8-15(27(24,25)26)13(7-11(12)17(22)23)19-20-16-10-4-2-1-3-9(10)5-6-14(16)21;;;/h2*1-8,19H,(H,22,23)(H,24,25,26);;;/q;;+2;2*+1/p-4/b2*20-16+;;;
InChIKey XQNJGOIUVORJSE-BVGCOCJXSA-J
Market Analysis Reports
Related Products
Calcium Di(Octa...  Calcium di((Z)-...  Calcium Dioctyl...  calcium 3,9-dio...  Calcium 2,4-Dio...  Calcium Diperbr...  Calcium Dipheno...  Calcium Dipotas...  Calcium dipropi...  Calcium disilic...  Calcium Disodiu...  Calcium disodiu...  Calcium Disodiu...  Calcium Disulph...  Calcium Ditetra...  Calcium Ditetra...  Calcium 2,2'-Di...  Calcium dithion...  Calcium di(D-xy...  Calcium dobesil...