Online Database of Chemicals from Around the World

O-4,6-O-Cyclohexylidene-3-deoxy-3-[[(1,1-dimethylethoxy)carbonyl]amino]-alpha-D-glucopyranosyl-(1→6)-O-[2,3,4,6-tetradeoxy-2,6-bis[[(1,1-dimethylethoxy)carbonyl]amino]-alpha-D-erythro-hex-3-enopyranosyl-(1→4)]-2-deoxy-N1,N3-bis[(1,1-dimethylethoxy)carbonyl]-D-streptamine
[CAS 64271-33-6]

List of Suppliers
Coresyn Pharmatech Co., Ltd. China
www.coresyn.com
+86 (571) 8662-6709
sales@coresyn.com
Chemical manufacturer
chemBlink Standard supplier since 2016

Identification
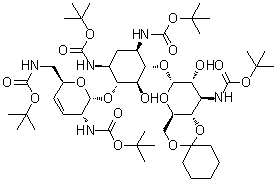
NameO-4,6-O-Cyclohexylidene-3-deoxy-3-[[(1,1-dimethylethoxy)carbonyl]amino]-alpha-D-glucopyranosyl-(1→6)-O-[2,3,4,6-tetradeoxy-2,6-bis[[(1,1-dimethylethoxy)carbonyl]amino]-alpha-D-erythro-hex-3-enopyranosyl-(1→4)]-2-deoxy-N1,N3-bis[(1,1-dimethylethoxy)carbonyl]-D-streptamine
Molecular StructureO-4,6-O-Cyclohexylidene-3-deoxy-3-[[(1,1-dimethylethoxy)carbonyl]amino]-alpha-D-glucopyranosyl-(1→6)-O-[2,3,4,6-tetradeoxy-2,6-bis[[(1,1-dimethylethoxy)carbonyl]amino]-alpha-D-erythro-hex-3-enopyranosyl-(1→4)]-2-deoxy-N1,N3-bis[(1,1-dimethylethoxy)carbonyl]-D-streptamine molecular structure (CAS 64271-33-6)
Molecular FormulaC49H83N5O18
Molecular Weight1030.21
CAS Registry Number64271-33-6
Properties
SolubilityVery slightly soluble (0.14 g/L) (25 °C), Calc.*
Density1.26±0.1 g/cm3 (20 °C 760 Torr), Calc.*
*Calculated using Advanced Chemistry Development (ACD/Labs) Software V11.02 (©1994-2019 ACD/Labs)
Market Analysis Reports
Related Products
2,3-O-Cyclohexy...  1,1'-Cyclohexyl...  4-Cyclohexylide...  N-Cyclohexylide...  Cyclohexylidene...  Cyclohexylidene...  2-Cyclohexylide...  Cyclohexylidene...  2-Cyclohexylide...  2-Cyclohexylide...  4,4'-Cyclohexyl...  (3b,5b)-3-[(3,4...  2-Cyclohexylide...  Cyclohexylidene...  2,3-O-Cyclohexy...  2-Cyclohexylide...  1-Cyclohexylide...  Cyclohexylidene...  5-(2-Cyclohexyl...  5-(2-Cyclohexyl...