全球化学品在线数据库

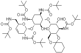
O-4,6-O-环己基亚基-3-脱氧-3-[[(1,1-二甲基乙氧基)羰基]氨基]-α-D-吡喃葡萄糖基-(1→6)-O-[2,3,4,6-四脱氧-2,6-双[[(1,1-二甲基乙氧基)羰基]氨基]-α-D-赤式-己-3-烯并吡喃糖基-(1→4)]-2-脱氧-N1,N3-双[(1,1-二甲基乙氧基)羰基]-D-链霉胺
[CAS 64271-33-6]

供应商目录
科盛医药科技 (杭州) 公司 中国
www.coresyn.com
+86 (571) 8662-6709
sales@coresyn.com
化学品生产商
chemBlink 标准供应商 (2016年起)

基本信息
产品名称O-4,6-O-环己基亚基-3-脱氧-3-[[(1,1-二甲基乙氧基)羰基]氨基]-α-D-吡喃葡萄糖基-(1→6)-O-[2,3,4,6-四脱氧-2,6-双[[(1,1-二甲基乙氧基)羰基]氨基]-α-D-赤式-己-3-烯并吡喃糖基-(1→4)]-2-脱氧-N1,N3-双[(1,1-二甲基乙氧基)羰基]-D-链霉胺
英文名O-4,6-O-Cyclohexylidene-3-deoxy-3-[[(1,1-dimethylethoxy)carbonyl]amino]-alpha-D-glucopyranosyl-(1→6)-O-[2,3,4,6-tetradeoxy-2,6-bis[[(1,1-dimethylethoxy)carbonyl]amino]-alpha-D-erythro-hex-3-enopyranosyl-(1→4)]-2-deoxy-N1,N3-bis[(1,1-dimethylethoxy)carbonyl]-D-streptamine
分子结构O-4,6-O-环己基亚基-3-脱氧-3-[[(1,1-二甲基乙氧基)羰基]氨基]-α-D-吡喃葡萄糖基-(1→6)-O-[2,3,4,6-四脱氧-2,6-双[[(1,1-二甲基乙氧基)羰基]氨基]-α-D-赤式-己-3-烯并吡喃糖基-(1→4)]-2-脱氧-N1,N3-双[(1,1-二甲基乙氧基)羰基]-D-链霉胺分子结构 (CAS 64271-33-6)
分子式C49H83N5O18
分子量1030.21
CAS 登录号64271-33-6
物理化学性质
溶解度极微溶解 (0.14 g/L) (25 °C), 计算值*
密度1.26±0.1 g/cm3 (20 °C 760 Torr), 计算值*
*使用计算机软件 Advanced Chemistry Development (ACD/Labs) Software V11.02 (©1994-2019 ACD/Labs)
市场分析报告
相关产品
1-[环己基亚基-(4-甲氧基...  2-环己基亚基-1,3-二氧戊...  2,3-O-环己基亚基-1,6...  2-环己基亚基-1-丙醇  3-环己基亚基-1-丙烯-2-...  (3b,5b)-3-[(3,4...  N-环己基亚基-2-氨基甲酰基...  3-环己基亚基-2-环氧乙烷甲...  4-环己基亚基-3-丁烯-2-...  1,2-O-环己基亚基-3-O...  1,2-O-环己基亚基-4-O...  N-(5-环己基亚基-4-氧代...  2-环己基亚基-6-(1-环己...  环己基亚基-6-氯-脱氧呋喃葡...  [11beta,16alpha...  4,4'-环己基亚甲基二苯酚  1,2-O-环己基亚基-alp...  1,2-O-环己基亚基-alp...  2,3-O-环己基亚基-bet...  1-环己基亚基丙-2-酮