Online Database of Chemicals from Around the World

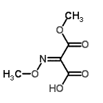
(2E)-3-Methoxy-2-(methoxyimino)-3-oxopropanoic acid
[CAS 754931-56-1]

Suppliers
Atomax Chemicals Co., Ltd. China
+86 13417589054/
info@atomaxchem.com,atomax.chemicals@gmail.com
QQ Chat
Chemical manufacturer
Identification
Name (2E)-3-Methoxy-2-(methoxyimino)-3-oxopropanoic acid
Synonyms (E)-3-methoxy-2-(methoxyimino)-3-oxopropanoic acid
Molecular Structure CAS#: 754931-56-1, (2E)-3-Methoxy-2-(methoxyimino)-3-oxopropanoic acid
Molecular Formula C5H7NO5
Molecular Weight 161.11
CAS Registry Number 754931-56-1
SMILES COC(=O)/C(=N/OC)/C(=O)O
InChI 1S/C5H7NO5/c1-10-5(9)3(4(7)8)6-11-2/h1-2H3,(H,7,8)/b6-3+
InChIKey ZILRKKDGWPMECH-ZZXKWVIFSA-N
Properties
Density 1.334g/cm3 (Cal.)
Boiling point 251.141°C at 760 mmHg (Cal.)
Flash point 105.687°C (Cal.)
Refractive index 1.469 (Cal.)
Market Analysis Reports
Related Products
2-Methoxy-N-(2-...  3-Methoxy-2-(2-...  2-Methoxy-N-(2-...  5-(1-(Methoxyme...  2-(5-(1-(Methox...  5-(4-(2-(5-(1-(...  1-[2-(Methoxyme...  (2R)-2-Methoxy-...  (2S)-2-Methoxy-...  (2S,3R,4S,5S,6R...  (E)-Methoxy-[(5...  3-(Methoxymetho...  3-Methoxy-4-(Me...  3'-Methoxy-4'-(...  2-Methoxy-5-{[6...  6-Methoxy-8-[[6...  2-Methoxy-4-[(m...  3-Methoxy-N-(Me...  2-Methoxy-4-(Me...  4-(Methoxymetho...