Online Database of Chemicals from Around the World

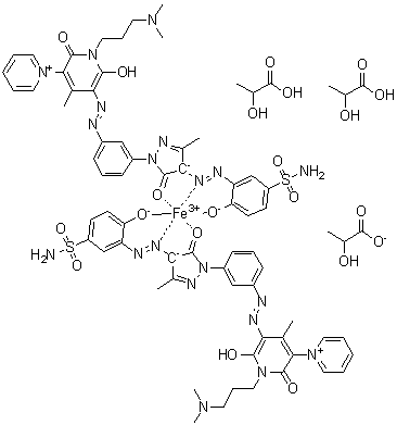
Bis[5'-[[3-[4-[[5-(aminosulfonyl)-2-hydroxyphenyl]azo]-4,5-dihydro-3-methyl-5-oxo-1H-pyrazol-1-yl]phenyl]azo]-1'-[3-(dimethylamino)propyl]-1',2'-dihydro-6'-hydroxy-4'-methyl-2'-oxo-1,3'-bipyridiniumato]iron salt with 2-hydroxypropanoic acid (1:1) bis(2-hydroxypropanoate) (salt)
[CAS 79135-21-0]

List of Suppliers
Alfa Chemistry USA
www.alfa-chemistry.com
+1 (201) 478-8534
+1 (516) 927-0118
inquiry@alfa-chemistry.com
Chemical distributor since 2012
chemBlink Standard supplier since 2012

Identification
NameBis[5'-[[3-[4-[[5-(aminosulfonyl)-2-hydroxyphenyl]azo]-4,5-dihydro-3-methyl-5-oxo-1H-pyrazol-1-yl]phenyl]azo]-1'-[3-(dimethylamino)propyl]-1',2'-dihydro-6'-hydroxy-4'-methyl-2'-oxo-1,3'-bipyridiniumato]iron salt with 2-hydroxypropanoic acid (1:1) bis(2-hydroxypropanoate) (salt)
Molecular StructureBis[5'-[[3-[4-[[5-(aminosulfonyl)-2-hydroxyphenyl]azo]-4,5-dihydro-3-methyl-5-oxo-1H-pyrazol-1-yl]phenyl]azo]-1'-[3-(dimethylamino)propyl]-1',2'-dihydro-6'-hydroxy-4'-methyl-2'-oxo-1,3'-bipyridiniumato]iron salt with 2-hydroxypropanoic acid (1:1) bis(2-hydroxypropanoate) (salt) molecular structure (CAS 79135-21-0)
Molecular FormulaC64H66FeN20O12S2.2(C3H6O3).C3H5O3
Molecular Weight1696.54
CAS Registry Number79135-21-0
EC Number279-072-2
Market Analysis Reports
Related Products
N1,N9-Bis(3-Ami...  N,N'-Bis(3-amin...  N,N'-Bis(3-Amin...  Bis(3-Aminoprop...  1,4-Bis(3-amino...  O,O'-Bis(3-Amin...  O,O'-Bis(2-amin...  N,N'-Bis(3-Amin...  1,3-Bis(3-amino...  Bis(6-aminoquin...  Bis[N-[8-[[5-(A...  4,4'-Bis((5-((5...  Bis[2-[[4-(Amin...  Bis(3-Amino-4,5...  (SP-4-2)-bis(4-...  4,4'-Bis(4-amin...  1,4-Bis(4-amino...  N,N'-Bis(2-Ammo...  2,4-Bis(4-amoxy...  Bisandrographol...