| BOC Sciences | USA | |||
|---|---|---|---|---|
![]() | www.bocsci.com | |||
![]() | +1 (631) 485-4226 | |||
![]() | +1 (631) 614-7828 | |||
![]() | info@bocsci.com | |||
| Chemical manufacturer | ||||
| chemBlink Standard supplier since 2010 | ||||
| Creative Peptides | USA | |||
|---|---|---|---|---|
![]() | www.creative-peptides.com | |||
![]() | +1 (631) 624-4882 | |||
![]() | +1 (631) 614-7828 | |||
![]() | info@creative-peptides.com | |||
| Chemical manufacturer | ||||
| chemBlink Standard supplier since 2010 | ||||
| Wuxi Asia Peptide Biotechnology Limited Company | China | |||
|---|---|---|---|---|
![]() | www.asiapeptide.com | |||
![]() | +86 (510) 8359-2065 +86 18261568580 | |||
![]() | +86 (510) 8358-3039 | |||
![]() | info@peptide-search.com | |||
| Chemical manufacturer since 2010 | ||||
| chemBlink Standard supplier since 2013 | ||||
| Selleck Chemicals LLC | USA | |||
|---|---|---|---|---|
![]() | www.selleckchem.com | |||
![]() | +1 (713) 535-9129 | |||
![]() | +1 (832) 582-8590 | |||
![]() | info@selleckchem.com | |||
| Chemical manufacturer | ||||
| chemBlink Standard supplier since 2014 | ||||
| Alsachim SAS | France | |||
|---|---|---|---|---|
![]() | www.alsachim.com | |||
![]() | +33 (0) 390 402 200 | |||
![]() | +33 (0) 390 402 199 | |||
![]() | contact@alsachim.com | |||
| Chemical manufacturer | ||||
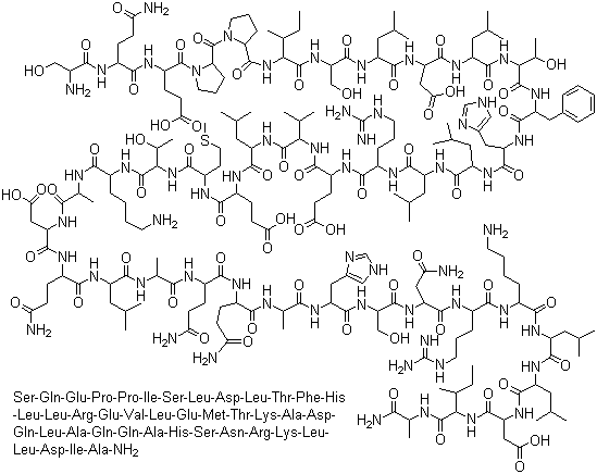
| Name | Ovine CRF |
|---|---|
| Synonyms | Ovine corticotropin-releasing factor |
| Molecular Structure | ![]() |
| Molecular Formula | C205H339N59O63S |
| Molecular Weight | 4670.31 |
| CAS Registry Number | 79804-71-0 |
| Market Analysis Reports |