Identification
| Name |
Norvancomycin |
| Synonyms |
Vancomycin, 56-Demethyl- |
|
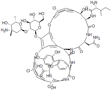
| Molecular Structure |
 |
| Molecular Formula |
C65H73Cl2N9O24 |
| Molecular Weight |
1435.24 |
| CAS Registry Number |
91700-98-0 |
| SMILES |
[C@H]56NC(=O)[C@@H]1NC(=O)[C@@H](NC(=O)[C@H](NC(=O)[C@H](N)C(CC)C)[C@H](O)C%10=CC=C(OC2=CC1=CC(=C2O[C@@H]3O[C@@H]([C@@H](O)[C@H](O)[C@H]3O[C@@H]4O[C@H]([C@@H](O)[C@@](N)(C4)C)C)CO)OC9=C(Cl)C=C([C@@H](O)[C@H](NC5=O)C(=O)N[C@@H](C8=C(C7=C(O)C=CC6=C7)C(=CC(= |
| InChI |
1S/C65H73Cl2N9O24/c1-5-22(2)44(69)58(88)75-48-50(82)25-7-10-36(31(66)13-25)96-38-15-27-16-39(54(38)100-64-55(53(85)52(84)40(21-77)98-64)99-42-20-65(4,70)56(86)23(3)95-42)97-37-11-8-26(14-32(37)67)51(83)49-62(92)74-47(63(93)94)30-17-28(78)18-35(80)43(30)29 |
| InChIKey |
FGDOJVYPUSOORV-BKPBQXSSSA-N |
|