| 产品概述 | |
| |
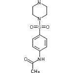
| 产品名称 | N-[4-(1-哌嗪基磺酰基)苯基]乙酰胺 |
| CAS 登录号 | 100318-71-6 |
| 分子式 | C12H17N3O3S |
| 分子量 | 283.35 |
| N-[4-(1-哌嗪基磺酰基)苯基]乙酰胺的详细资料 | |
| 资料来源 | SDS 样本 |
| Oakwood www.oakwoodchemical.com/ShowMSDS.aspx?Number=026274 |
浏览或下载 |
| Matrix www.matrixscientific.com/media/msds/01/20/66/MxMSDS_012066.pdf |
浏览或下载 |
|
免责声明 本页所列之化学品安全技术说明书样本系 chemBlink 公司搜集的互联网公开信息,仅用于指导化学品安全技术说明书的编辑与制作。chemBlink 竭诚提供可靠信息,然而不承诺其完备与准确。 阅读全文... |
|