全球化学品在线数据库

1,4,8-对甲苯磺酰基-1,4,8,11-四氮杂环十四烷 化学品安全技术说明书 (CAS 104395-69-9)

本页面提供 1,4,8-对甲苯磺酰基-1,4,8,11-四氮杂环十四烷 (CAS 104395-69-9) 的化学品安全技术说明书 (SDS),包括危险性、急救措施、储存与操作要求等信息。用户可免费下载 SDS 文件用于实验室或工业参考。

产品概述

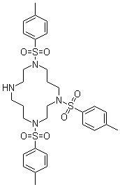
结构式 CAS# 104395-69-9, 1,4,8-对甲苯磺酰基-1,4,8,11-四氮杂环十四烷
产品名称 1,4,8-对甲苯磺酰基-1,4,8,11-四氮杂环十四烷
CAS 登录号 104395-69-9
分子式 C31H42N4O6S3
分子量 662.89
1,4,8-对甲苯磺酰基-1,4,8,11-四氮杂环十四烷的详细资料
 
资料来源 SDS 样本
Ambeed
file.ambeed.com/static/upload/prosds/am/716/SDS-A715269.pdf
浏览或下载

免责声明

本页所列之化学品安全技术说明书样本系 chemBlink 公司搜集的互联网公开信息,仅用于指导化学品安全技术说明书的编辑与制作。chemBlink 竭诚提供可靠信息,然而不承诺其完备与准确。 阅读全文...



常见问题 (FAQ)
什么是 SDS?   如何下载 SDS?   SDS 是否免费?   SDS 和 MSDS 有什么区别?



相关化学品安全技术说明书
反式聚异戊二烯   N-甲基氨基磺酰氯   [1,2,4]三唑并...   2-[2-(4-甲基...   9,10-蒽醌-d<...   1-(5-甲基-2-...   N,2-二甲基-4-...   4-壬基苯酚   6-肼基烟腈   2-肼基-6-甲基吡...