全球化学品在线数据库

罗汉果甙 III 化学品安全技术说明书 (CAS 130567-83-8)

本页面提供 罗汉果甙 III (CAS 130567-83-8) 的化学品安全技术说明书 (SDS),包括危险性、急救措施、储存与操作要求等信息。用户可免费下载 SDS 文件用于实验室或工业参考。

产品概述

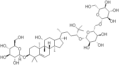
结构式 CAS# 130567-83-8, 罗汉果甙 III
产品名称 罗汉果甙 III
CAS 登录号 130567-83-8
分子式 C48H82O19
分子量 963.15
罗汉果甙 III的详细资料
 
资料来源 SDS 样本
Ambeed
file.ambeed.com/static/upload/prosds/am/505/SDS-A504656.pdf
浏览或下载

免责声明

本页所列之化学品安全技术说明书样本系 chemBlink 公司搜集的互联网公开信息,仅用于指导化学品安全技术说明书的编辑与制作。chemBlink 竭诚提供可靠信息,然而不承诺其完备与准确。 阅读全文...



常见问题 (FAQ)
什么是 SDS?   如何下载 SDS?   SDS 是否免费?   SDS 和 MSDS 有什么区别?



相关化学品安全技术说明书
2-羟甲基恶唑   2-碘-1-甲基-4...   2-甲基-5-(三氟...   3-氯-4-氟-苯硫...   氢氧化钙   5,6-二氯茚满-1...   2-丙烯酸 1,2,...   6-苯并恶唑羧酸甲酯   溴甲基甲基醚   甲氧基甲基碘化物