全球化学品在线数据库

氯毒素 化学品安全技术说明书 (CAS 163515-35-3)

本页面提供 氯毒素 (CAS 163515-35-3) 的化学品安全技术说明书 (SDS),包括危险性、急救措施、储存与操作要求等信息。用户可免费下载 SDS 文件用于实验室或工业参考。

产品概述

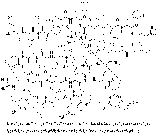
结构式 CAS# 163515-35-3, 氯毒素; 氯代毒素
产品名称 氯毒素
CAS 登录号 163515-35-3
分子式 C158H249N53O47S11
分子量 3995.70
氯毒素的详细资料
 
资料来源 SDS 样本
Sigma-Aldrich
www.sigmaaldrich.com/catalog/Lookup.do?N5=All&N3=mode+matchpartialmax&N1=S_ID&ST=RS&N25=0&F=PR&D7=0&N4=163515-35-3
浏览或下载

免责声明

本页所列之化学品安全技术说明书样本系 chemBlink 公司搜集的互联网公开信息,仅用于指导化学品安全技术说明书的编辑与制作。chemBlink 竭诚提供可靠信息,然而不承诺其完备与准确。 阅读全文...



常见问题 (FAQ)
什么是 SDS?   如何下载 SDS?   SDS 是否免费?   SDS 和 MSDS 有什么区别?



相关化学品安全技术说明书
1-[(苄氧基)羰基...   N2   5'-O-[二(4-...   D-3-(2-吡啶基...   2-氯-N-(2,4...   2-(2-甲基苯基)...   B-(3-氟-2-甲...   5-氟-2-甲基苯硼...   4,5-二氢-5,5...   4-氨基-6-甲基-...