全球化学品在线数据库

(2R,3S)-2,3-二羟基-1,4-丁烷二铵二氯化物 化学品安全技术说明书 (CAS 20182-71-2)

本页面提供 (2R,3S)-2,3-二羟基-1,4-丁烷二铵二氯化物 (CAS 20182-71-2) 的化学品安全技术说明书 (SDS),包括危险性、急救措施、储存与操作要求等信息。用户可免费下载 SDS 文件用于实验室或工业参考。

产品概述

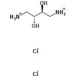
结构式 CAS# 20182-71-2, (2R,3S)-2,3-二羟基-1,4-丁烷二铵二氯化物
产品名称 (2R,3S)-2,3-二羟基-1,4-丁烷二铵二氯化物
CAS 登录号 20182-71-2
分子式 C4H14Cl2N2O2
分子量 193.07
(2R,3S)-2,3-二羟基-1,4-丁烷二铵二氯化物的详细资料
 
资料来源 SDS 样本
Sigma-Aldrich
www.sigmaaldrich.com/catalog/Lookup.do?N5=All&N3=mode+matchpartialmax&N1=S_ID&ST=RS&N25=0&F=PR&D7=0&N4=20182-71-2
浏览或下载

免责声明

本页所列之化学品安全技术说明书样本系 chemBlink 公司搜集的互联网公开信息,仅用于指导化学品安全技术说明书的编辑与制作。chemBlink 竭诚提供可靠信息,然而不承诺其完备与准确。 阅读全文...



常见问题 (FAQ)
什么是 SDS?   如何下载 SDS?   SDS 是否免费?   SDS 和 MSDS 有什么区别?



相关化学品安全技术说明书
8-溴-1,2,3,...   6-溴-3(2H)-...   1'-(叔丁氧羰基)...   去氟甲基氟替卡松丙酸...   [(2R,3S,4R...   细叶远志皂苷   N-(4-甲基-2-...   H-beta-丙氨酰...   N-[2-氧代-4-...   L-精氨酰-N-(4...