全球化学品在线数据库

4-[4-(二苯基甲氧基)-1-哌啶基]-1-[4-(1-羟基-2-甲基-2-丙基)苯基]-1-丁酮 化学品安全技术说明书 (CAS 210686-41-2)

本页面提供 4-[4-(二苯基甲氧基)-1-哌啶基]-1-[4-(1-羟基-2-甲基-2-丙基)苯基]-1-丁酮 (CAS 210686-41-2) 的化学品安全技术说明书 (SDS),包括危险性、急救措施、储存与操作要求等信息。用户可免费下载 SDS 文件用于实验室或工业参考。

产品概述

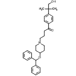
结构式 CAS# 210686-41-2, 4-[4-(二苯基甲氧基)-1-哌啶基]-1-[4-(1-羟基-2-甲基-2-丙基)苯基]-1-丁酮
产品名称 4-[4-(二苯基甲氧基)-1-哌啶基]-1-[4-(1-羟基-2-甲基-2-丙基)苯基]-1-丁酮
CAS 登录号 210686-41-2
分子式 C32H39NO3
分子量 485.66
4-[4-(二苯基甲氧基)-1-哌啶基]-1-[4-(1-羟基-2-甲基-2-丙基)苯基]-1-丁酮的详细资料
 
资料来源 SDS 样本
Cayman
www.caymanchem.com/msdss/22379m.pdf
浏览或下载

免责声明

本页所列之化学品安全技术说明书样本系 chemBlink 公司搜集的互联网公开信息,仅用于指导化学品安全技术说明书的编辑与制作。chemBlink 竭诚提供可靠信息,然而不承诺其完备与准确。 阅读全文...



常见问题 (FAQ)
什么是 SDS?   如何下载 SDS?   SDS 是否免费?   SDS 和 MSDS 有什么区别?



相关化学品安全技术说明书
5-[(Z)-(1,...   4-硝基苯基2-(三...   3-氯-2-氟硝基苯   2-氯-4-氟硝基苯   3,5,6-三氯八氟...   4,4,5,5-四甲...   1-(三氟乙酰基)-...   1-(2,2-二甲基...   3-溴-8-甲基-6...   1-溴-3-氟-2-...