| 产品概述 | |
| |
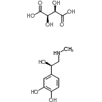
| 产品名称 | (2R,3R)-2,3-二羟基琥珀酸-4-[(1R)-1-羟基-2-(甲基氨基)乙基]-1,2-苯二酚(1:1) |
| CAS 登录号 | 24351-82-4 |
| 分子式 | C13H19NO9 |
| 分子量 | 333.29 |
| (2R,3R)-2,3-二羟基琥珀酸-4-[(1R)-1-羟基-2-(甲基氨基)乙基]-1,2-苯二酚(1:1)的详细资料 | |
| 资料来源 | SDS 样本 |
| Matrix www.matrixscientific.com/media/msds/14/78/82/MxMSDS_147882.pdf |
浏览或下载 |
|
免责声明 本页所列之化学品安全技术说明书样本系 chemBlink 公司搜集的互联网公开信息,仅用于指导化学品安全技术说明书的编辑与制作。chemBlink 竭诚提供可靠信息,然而不承诺其完备与准确。 阅读全文... |
|