全球化学品在线数据库

2-乙氧基-5-[(4-乙基-1-哌嗪基)磺酰基]烟酸 化学品安全技术说明书 (CAS 247582-73-6)

本页面提供 2-乙氧基-5-[(4-乙基-1-哌嗪基)磺酰基]烟酸 (CAS 247582-73-6) 的化学品安全技术说明书 (SDS),包括危险性、急救措施、储存与操作要求等信息。用户可免费下载 SDS 文件用于实验室或工业参考。

产品概述

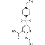
结构式 CAS# 247582-73-6, 2-乙氧基-5-[(4-乙基-1-哌嗪基)磺酰基]烟酸
产品名称 2-乙氧基-5-[(4-乙基-1-哌嗪基)磺酰基]烟酸
CAS 登录号 247582-73-6
分子式 C14H21N3O5S
分子量 343.40
2-乙氧基-5-[(4-乙基-1-哌嗪基)磺酰基]烟酸的详细资料
 
资料来源 SDS 样本
Matrix
www.matrixscientific.com/media/msds/16/86/08/MxMSDS_168608.pdf
浏览或下载

免责声明

本页所列之化学品安全技术说明书样本系 chemBlink 公司搜集的互联网公开信息,仅用于指导化学品安全技术说明书的编辑与制作。chemBlink 竭诚提供可靠信息,然而不承诺其完备与准确。 阅读全文...



常见问题 (FAQ)
什么是 SDS?   如何下载 SDS?   SDS 是否免费?   SDS 和 MSDS 有什么区别?



相关化学品安全技术说明书
2-氨基-5-甲氧基...   2-氨基-4-氟苯甲...   2-氨基-5-乙基苯...   2-乙氧基-5-硝基...   6-氨基-5-溴-3...   1,2-二氢萘并[2...   乙基1-甲基-5-丙...   4-氨基-1-甲基-...   [4-(4-吗啉基)...   2-(4-甲酰基-2...