Online Database of Chemicals from Around the World

化学品安全技术说明书

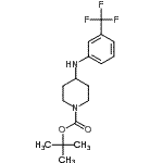
2-甲基-2-丙基4-{[3-(三氟甲基)苯基]氨基}-1-哌啶羧酸酯
[ CAS# 477864-09-8 ]

产品概述

结构式 CAS# 477864-09-8, 2-甲基-2-丙基4-{[3-(三氟甲基)苯基]氨基}-1-哌啶羧酸酯
产品名称 2-甲基-2-丙基4-{[3-(三氟甲基)苯基]氨基}-1-哌啶羧酸酯
CAS 登录号 477864-09-8
分子式 Csub17/subHsub23/subFsub3/subNsub2/subOsub2/sub
分子量 344.37
2-甲基-2-丙基4-{[3-(三氟甲基)苯基]氨基}-1-哌啶羧酸酯的详细资料
 
资料来源 SDS 样本
Matrix
www.matrixscientific.com/media/msds/17/08/11/MxMSDS_170811.pdf
浏览或下载

免责声明

本页所列之化学品安全技术说明书样本系 chemBlink 公司搜集的互联网公开信息,仅用于指导化学品安全技术说明书的编辑与制作。chemBlink 竭诚提供可靠信息,然而不承诺其完备与准确。 阅读全文...




相关化学品安全技术说明书
4-[5-(1H-1...   6,7-二氯-3-(...   4-乙酰基-1H-吡...   4-(4-甲基苯基)...   3-氟-4-苯基苯酚   5-乙氧基-2-(4...   2-氨基-3-溴-5...   2-O-beta-D...   2-(2,5-二甲基...   岩白菜素