全球化学品在线数据库

肯普肽 化学品安全技术说明书 (CAS 65189-71-1)

本页面提供 肯普肽 (CAS 65189-71-1) 的化学品安全技术说明书 (SDS),包括危险性、急救措施、储存与操作要求等信息。用户可免费下载 SDS 文件用于实验室或工业参考。

产品概述

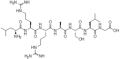
结构式 CAS# 65189-71-1, 肯普肽
产品名称 肯普肽
CAS 登录号 65189-71-1
分子式 C32H61N13O9
分子量 771.91
肯普肽的详细资料
 
资料来源 SDS 样本
Alfa-Aesar
www.alfa.com/en/content/msds/USA/J60591.pdf
浏览或下载
Cayman
www.caymanchem.com/msdss/15555m.pdf
浏览或下载

免责声明

本页所列之化学品安全技术说明书样本系 chemBlink 公司搜集的互联网公开信息,仅用于指导化学品安全技术说明书的编辑与制作。chemBlink 竭诚提供可靠信息,然而不承诺其完备与准确。 阅读全文...



常见问题 (FAQ)
什么是 SDS?   如何下载 SDS?   SDS 是否免费?   SDS 和 MSDS 有什么区别?



相关化学品安全技术说明书
5-乙酰基-2-吡啶...   6-溴喹啉-2-甲腈   邻溴苯乙胺   5,6-二氯烟腈   4-(氯甲基)袂康宁   全氟对二甲苯   盐酸育亨宾   4-硝基-1H-吡唑...   2-甲基去氢骆驼蓬碱   2-(4-甲氧基苯基...