全球化学品在线数据库

1,2-棕榈酰磷脂酰甘油钠盐 化学品安全技术说明书 (CAS 67232-81-9)

本页面提供 1,2-棕榈酰磷脂酰甘油钠盐 (CAS 67232-81-9) 的化学品安全技术说明书 (SDS),包括危险性、急救措施、储存与操作要求等信息。用户可免费下载 SDS 文件用于实验室或工业参考。

产品概述

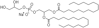
结构式 CAS# 67232-81-9, 1,2-棕榈酰磷脂酰甘油钠盐
产品名称 1,2-棕榈酰磷脂酰甘油钠盐
CAS 登录号 67232-81-9
分子式 C38H74O10P.Na
分子量 744.95
1,2-棕榈酰磷脂酰甘油钠盐的详细资料
 
资料来源 SDS 样本
Sigma-Aldrich
www.sigmaaldrich.com/catalog/Lookup.do?N5=All&N3=mode+matchpartialmax&N1=S_ID&ST=RS&N25=0&F=PR&D7=0&N4=67232-81-9
浏览或下载

免责声明

本页所列之化学品安全技术说明书样本系 chemBlink 公司搜集的互联网公开信息,仅用于指导化学品安全技术说明书的编辑与制作。chemBlink 竭诚提供可靠信息,然而不承诺其完备与准确。 阅读全文...



常见问题 (FAQ)
什么是 SDS?   如何下载 SDS?   SDS 是否免费?   SDS 和 MSDS 有什么区别?



相关化学品安全技术说明书
3-(2-噻唑基)-...   (3R)-1-(2-...   3-(4-甲基-1-...   溴-(3-溴-2-噻...   1,2-十四酰磷脂酰...   O-(四氢-2H-吡...   5-硝基愈创木酚钠   (1Z)-2,3,3...   3-乙炔基噻吩   4-氨基-6-三氟甲...