| 产品概述 | |
| |
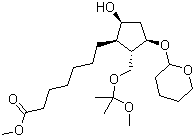
| 产品名称 | [1R-(1a,2b,3a,5a)]-5-羟基-2-[(1-甲氧基-1-甲基乙氧基)甲基]-3-[(四氢-2H-吡喃基)氧基]环戊烷庚酸甲酯 |
| CAS 登录号 | 69810-10-2 |
| 分子式 | C23H42O7 |
| 分子量 | 430.58 |
| [1R-(1a,2b,3a,5a)]-5-羟基-2-[(1-甲氧基-1-甲基乙氧基)甲基]-3-[(四氢-2H-吡喃基)氧基]环戊烷庚酸甲酯的详细资料 | |
| 资料来源 | SDS 样本 |
| Matrix www.matrixscientific.com/media/msds/09/62/31/MxMSDS_096231.pdf |
浏览或下载 |
|
免责声明 本页所列之化学品安全技术说明书样本系 chemBlink 公司搜集的互联网公开信息,仅用于指导化学品安全技术说明书的编辑与制作。chemBlink 竭诚提供可靠信息,然而不承诺其完备与准确。 阅读全文... |
|