全球化学品在线数据库

3-[(3-胆胺丙基)二甲基氨基]-2-羟基-1-丙磺酸内盐 化学品安全技术说明书 (CAS 82473-24-3)

本页面提供 3-[(3-胆胺丙基)二甲基氨基]-2-羟基-1-丙磺酸内盐 (CAS 82473-24-3) 的化学品安全技术说明书 (SDS),包括危险性、急救措施、储存与操作要求等信息。用户可免费下载 SDS 文件用于实验室或工业参考。

产品概述

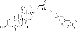
结构式 CAS# 82473-24-3, 3-[(3-胆胺丙基)二甲基氨基]-2-羟基-1-丙磺酸内盐
产品名称 3-[(3-胆胺丙基)二甲基氨基]-2-羟基-1-丙磺酸内盐
CAS 登录号 82473-24-3
分子式 C32H58N2O8S
分子量 630.88
3-[(3-胆胺丙基)二甲基氨基]-2-羟基-1-丙磺酸内盐的详细资料
 
资料来源 SDS 样本
Sigma-Aldrich
www.sigmaaldrich.com/catalog/Lookup.do?N5=All&N3=mode+matchpartialmax&N1=S_ID&ST=RS&N25=0&F=PR&D7=0&N4=82473-24-3
浏览或下载
Apollo
www.apolloscientific.co.uk/downloads/msds/BIC0121_msds.pdf
浏览或下载
LOBA
www.lobachemie.com/laboratory-chemicals/lab-chemicals.aspx?search=82473-24-3
浏览或下载

免责声明

本页所列之化学品安全技术说明书样本系 chemBlink 公司搜集的互联网公开信息,仅用于指导化学品安全技术说明书的编辑与制作。chemBlink 竭诚提供可靠信息,然而不承诺其完备与准确。 阅读全文...



常见问题 (FAQ)
什么是 SDS?   如何下载 SDS?   SDS 是否免费?   SDS 和 MSDS 有什么区别?



相关化学品安全技术说明书
2-降莰烷羧酸   2,5-二氯氢醌   丁酰柠檬酸三正己酯   N-(2,3-二氢-...   苯膦酰二氯   对氟苯甲酰胺   2-氯-4,6-二甲...   3-氯-5-甲氧基苯...   3-氯-5-甲氧基-...   4-硝基苯酚钠