全球化学品在线数据库

2,3-环氧丙基O-吡喃半乳糖基(1-6)吡喃半乳糖苷
[CAS 101628-44-8]

供应商
CAS#: 101628-44-8
产品: 2,3-环氧丙基O-吡喃半乳糖基(1-6)吡喃半乳糖苷
暂时没有厂家供应该产品。
基本信息
产品名称 2,3-环氧丙基O-吡喃半乳糖基(1-6)吡喃半乳糖苷
英文名 2,3-Epoxypropyl O-Galactopyranosyl(1-6)Galactopyranoside
别名 2-(Oxiran-2-Ylmethoxy)-6-[[3,4,5-Trihydroxy-6-(Hydroxymethyl)Tetrahydropyran-2-Yl]Oxymethyl]Tetrahydropyran-3,4,5-Triol; 2-(2-Oxiranylmethoxy)-6-[[3,4,5-Trihydroxy-6-(Hydroxymethyl)-2-Tetrahydropyranyl]Oxymethyl]Tetrahydropyran-3,4,5-Triol; 2-Glycidoxy-6-[(3,4,5-Trihydroxy-6-Methylol-Tetrahydropyran-2-Yl)Oxymethyl]Tetrahydropyran-3,4,5-Triol
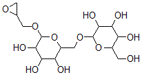
分子结构 CAS 登录号:101628-44-8, 2,3-环氧丙基O-吡喃半乳糖基(1-6)吡喃半乳糖苷
分子式 C15H26O12
分子量 398.36
CAS 登录号 101628-44-8
分子行输入简码 SMILES C(C1C(C(C(C(O1)OCC2OC2)O)O)O)OC3C(C(C(C(O3)CO)O)O)O
国际化学标识码 InChI 1S/C15H26O12/c16-1-6-8(17)10(19)12(21)15(26-6)25-4-7-9(18)11(20)13(22)14(27-7)24-3-5-2-23-5/h5-22H,1-4H2
国际化学标识检索码 InChIKey QKTASGBPCANNMS-UHFFFAOYSA-N
物理化学性质
密度 1.668g/cm3 (计算值)
沸点 715.179°C at 760 mmHg (计算值)
闪点 386.326°C (计算值)
市场分析报告
相关产品
N-(2,3-环氧丙基)-N-...  (2,3-环氧丙基)乙基双(2...  2,3-环氧丙基苯甲酸酯  2,3-环氧丙基丙烯酸酯  (S)-(-)-环氧丙基甲基醚...  (R)-(-)-环氧丙基甲基醚...  2,3-环氧丙基甲基醚  2,3-环氧丙基甲烷磺酸酯  2,3-环氧丙基膦酸二乙基酯  2,3-环氧丙腈  2,3-环氧丙基三甲基氯化铵;...  2,3-环氧丙基硝酸酯  2,3-环氧丙基油酸酯  (±)-环氧丙三酸单钾盐  (2S)-2,3-环氧丙酸甲酯...  2,3-环氧丙酸甲酯  (2R)-2,3-环氧丙酸乙酯...  2,3-环氧丙酸乙酯  (R)-环氧丙烷; (R)-(...  S-环氧丙烷; (S)-(-)...