全球化学品在线数据库

辅酶A S-(氢3-羟基-3-甲基戊二酸酯)二钠盐
[CAS 103476-21-7]

供应商目录
BOC Sciences 美国
www.bocsci.com
+1 (631) 485-4226
+1 (631) 614-7828
info@bocsci.com
化学品生产商
chemBlink 标准供应商 (2010年起)
CarboMer, Inc. 美国
www.carbomer.com
+1 (858) 552-0992
+1 (858) 552-0999
sales@carbomer.com
化学品生产商

基本信息
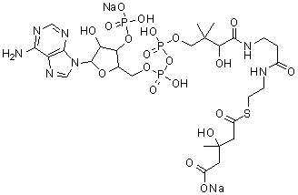
产品名称辅酶A S-(氢3-羟基-3-甲基戊二酸酯)二钠盐
英文名Coenzyme A S-(hydrogen 3-hydroxy-3-methyl pentanedioate) disodium salt
分子结构辅酶A S-(氢3-羟基-3-甲基戊二酸酯)二钠盐分子结构 (CAS 103476-21-7)
分子式C27H42N7O20P3S.2Na
分子量955.62
CAS 登录号103476-21-7
市场分析报告
相关产品
辅酶 F420  辅酶 M  辅酶 Q1  辅酶 Q10  辅酶 Q2  辅酶 Q4  辅酶 Q5  辅酶 Q8  辅酶 Q9  (C20:0)辅酶A  辅酶A S-丁酸酯三锂盐  辅酶A,S-(9Z)-9-十八...  辅酶A,S-[(R)-氢甲基丙...  辅酶A,S-月桂酸酯锂盐  辅酶A二硫醚  辅酶A钠盐水合物  辅酶AS-(12-((4-叠氮...  辅酶AS-(羟基乙酸酯)  辅酶A异丁酰基衍生物锂盐  福美甲胂