全球化学品在线数据库

二(磺基-N-琥珀酰亚胺基)(4',4'-二甲基-3'-氧代恶唑烷-2'-基)-2-螺-5'-壬二酸酯
[CAS 116502-73-9]

供应商
CAS#: 116502-73-9
产品: 二(磺基-N-琥珀酰亚胺基)(4',4'-二甲基-3'-氧代恶唑烷-2'-基)-2-螺-5'-壬二酸酯
暂时没有厂家供应该产品。
基本信息
产品名称 二(磺基-N-琥珀酰亚胺基)(4',4'-二甲基-3'-氧代恶唑烷-2'-基)-2-螺-5'-壬二酸酯
英文名 Bis(Sulfo-N-Succinimidyl)Doxyl-2-Spiro-5'-Azelate
别名 Bssda; Bis(Sulfo-N-Succinimidyl) Doxyl-2-Spiro-5'-Azelate; 2,2-Bis(4-((2,5-Dioxo-3-Sulfo-1-Pyrrolidinyl)Oxy)-4-Oxobutyl)-4,4-Dimethyl-3-Oxazolidinyloxy
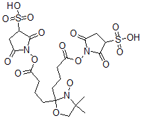
分子结构 CAS 登录号:116502-73-9, 二(磺基-N-琥珀酰亚胺基)(4',4'-二甲基-3'-氧代恶唑烷-2'-基)-2-螺-5'-壬二酸酯
分子式 C21H28N3O16S2
分子量 642.58
CAS 登录号 116502-73-9
分子行输入简码 SMILES [O]N1C(OCC1(C)C)(CCCC(=O)ON2C(C(CC2=O)[S](=O)(=O)O)=O)CCCC(=O)ON3C(C(CC3=O)[S](=O)(=O)O)=O
国际化学标识码 InChI 1S/C21H28N3O16S2/c1-20(2)11-38-21(24(20)31,7-3-5-16(27)39-22-14(25)9-12(18(22)29)41(32,33)34)8-4-6-17(28)40-23-15(26)10-13(19(23)30)42(35,36)37/h12-13H,3-11H2,1-2H3,(H,32,33,34)(H,35,36,37)
国际化学标识检索码 InChIKey UEOCILPYWSZCBW-UHFFFAOYSA-N
市场分析报告
相关产品
二(环(组氨酰组氨酸))铜(I...  (5alpha)-(5'alp...  1,3-二(环丙基甲基)-8-...  3,4-二(环丙基甲氧基)-N...  (3R)-3-(二(环丁基)氨...  (4R,5S,6S,7R)-1...  二(磺基琥珀酰亚胺基)草酸酯钠...  N-[4-[[3,4-二(磺基...  [(1R,3S,4R)-3,4...  二(磺基-N-琥珀酰亚胺基)(...  2-[2-[9,10-二(磺基...  16,18-二(磺基氧基)-3...  4-{(E)-2-[3,5-二...  (4alpha,7alpha)...  (3alpha,5beta,1...  (3alpha,5beta,7...  (28E)-2-[2,10-二...  3-[[9,10-二(磺酸基氧...  二(环己-3-烯基甲基)己二酸...  2,9-二(环己基)-蒽并[2...