全球化学品在线数据库

5-(丁基磺酰基)-2-(甲硫基)-1,3-噻唑-4-胺
[CAS 117420-87-8]

供应商
Achemica 瑞士
+41 (24) 466-2929
contact@achemica.com
化学品生产商(2010 年起)
Amadis Chemical Co., Ltd. 中国
+86 (571) 8992-5085
sales@amadischem.com
Skype 聊天
化学品生产商(2011 年起)
Oakwood Products, Inc. 美国
+1 (800) 467-3386
k_weaver@oakwoodchemical.com
化学品生产商
基本信息
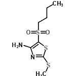
产品名称 5-(丁基磺酰基)-2-(甲硫基)-1,3-噻唑-4-胺
英文名 5-(Butylsulfonyl)-2-(Methylsulfanyl)-1,3-Thiazol-4-Amine
别名 4-Amino-5-butylsulfonyl-2-methylthiothiazole; 5-butylsulfonyl-2-(methylthio)-4-thiazolamine; 5-butylsulfonyl-2-methylsulfanyl-1,3-thiazol-4-amine
分子结构 CAS 登录号:117420-87-8, 5-(丁基磺酰基)-2-(甲硫基)-1,3-噻唑-4-胺
分子式 C8H14N2O2S3
分子量 266.40
CAS 登录号 117420-87-8
分子行输入简码 SMILES O=S(=O)(c1sc(SC)nc1N)CCCC
国际化学标识码 InChI 1S/C8H14N2O2S3/c1-3-4-5-15(11,12)7-6(9)10-8(13-2)14-7/h3-5,9H2,1-2H3
国际化学标识检索码 InChIKey ZKBABMOOOPHIIR-UHFFFAOYSA-N
物理化学性质
密度 1.388g/cm3 (计算值)
沸点 494.122°C at 760 mmHg (计算值)
闪点 252.636°C (计算值)
折射率 1.607 (计算值)
市场分析报告
相关产品
3-丁基环丁烷羧酸  3-丁基环丁烷羰基氯化物  1-丁基环丁烷羰基氯化物  6-丁基环庚-1,4-二烯  N-丁基环庚胺  (±)-丁基环庚基灵菌红素原  2-丁基磺酸  4-(N-丁基磺酰氨基)苯硼酸  1-[5-(丁基磺酰基)-1,...  5-(丁基磺酰基)-1-甲基-...  [3-[(丁基磺酰基)氨基]苯...  [4-[(丁基磺酰基)氨基]苯...  N-[4-[[2-[4-[(丁...  2-[4-[(丁基磺酰基)氨基...  N-(丁基磺酰基)氨基甲酸戊酯  1-[4-(丁基磺酰基)苯基]...  4-(丁基磺酰基)苯硼酸  (丁基磺酰基)环戊烷  N-(丁基磺酰基)-L-酪氨酸  N-(丁基磺酰基)-L-酪氨酸...