全球化学品在线数据库

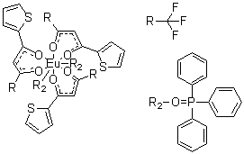
三[4,4,4-三氟-1-(2-噻吩基)-1,3-丁二酮]双(氧化三苯基膦)铕
[CAS 12121-29-8]

供应商目录
天津塞特瑞科技开发有限公司 中国
www.security-chemical.com
+86 (22) 2312-8588
2695-2636
+86 13312123508
+86 (22) 2695-2636
sale@security-chemical.com
1508039866@qq.com
化学品生产商 (2008年起)
chemBlink 标准供应商 (2009年起)

基本信息
产品名称三[4,4,4-三氟-1-(2-噻吩基)-1,3-丁二酮]双(氧化三苯基膦)铕
英文名Tris[4,4,4-trifluoro-1-(2-thienyl)-1,3-butanedionato]bis(triphenylphosphine oxide)europium
分子结构三[4,4,4-三氟-1-(2-噻吩基)-1,3-丁二酮]双(氧化三苯基膦)铕分子结构 (CAS 12121-29-8)
分子式C60H42EuF9O8P2S3
分子量1372.07
CAS 登录号12121-29-8
EC 号码680-350-4
物理化学性质
熔点248-251 °C*
*Yabe, Akiko
安全数据
SDS化学品安全技术说明书参考文本
市场分析报告
相关产品
三[4-(二甲基氨基)苯基]膦...  三[4-(二乙胺基)苯基]胺  三[4-(二乙氨基)苯基]铵六...  三[4-(甲硫基)苯基]膦  三[4-(全氟辛基)苯基]膦  三[4-(三氟甲基)苯基]膦  1,3,5-三[4-(三氟甲烷...  1,1,1-三[4-(三氟乙烯...  三[4-(三甲基硅烷基)苯基]...  三[4-(十三氟己基)苯基]膦  三[4,4'-硫基二(3-甲基...  三[4-[1,1,2,3,3,...  1,3,5-三[4-3'-(2...  三[4-氯苯磺酸]铁  三[4-叔丁基-2-(1H-吡...  1,1,3-三[5-(叔丁基)...  (OC-6-22)-三[5-氟...  (OC-6-22)-三[5-甲...  三[5-己基-2-(1-异喹啉...  1,3,5-三[6-[[[[(...