| 合肥天健化工有限公司 | 中国 | |||
|---|---|---|---|---|
![]() | www.tnjchem.com | |||
![]() | +86 (551) 6541-8684 | |||
![]() | +86 (551) 6541-8697 | |||
![]() | sales@tnjchem.com | |||
| 化学品生产商 (2001年起) | ||||
| chemBlink 标准供应商 (2010年起) | ||||
| 南通辰润化工有限公司 | 中国 | |||
|---|---|---|---|---|
![]() | www.chenrunchem.com | |||
![]() | +86 (513) 8874-3581 +86 15358700783 | |||
![]() | +86 (513) 8297-1198 | |||
![]() | chenrunchem@sina.com 909600256@qq.com | |||
![]() | QQ Chat | |||
| 化学品生产商 (2009年起) | ||||
| chemBlink 标准供应商 (2013年起) | ||||
| Hangzhou Leap Chem Co., Ltd. | 中国 | |||
|---|---|---|---|---|
![]() | www.leapchem.com | |||
![]() | +86 (571) 8771-1850 | |||
![]() | market19@leapchem.com | |||
![]() | QQ Chat | |||
| 化学品生产商 (2006年起) | ||||
| chemBlink 标准供应商 (2015年起) | ||||
| Scientific Polymer Products, Inc. | 美国 | |||
|---|---|---|---|---|
![]() | www.scientificpolymer.com | |||
![]() | +1 (585) 265-0413 | |||
![]() | +1 (585) 265-1390 | |||
![]() | custserv@scipoly.com | |||
| 化学品生产商 | ||||
| 产品分类 | 食品添加剂 >> 乳化剂 |
|---|---|
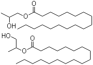
| 产品名称 | 丙二醇单硬酯酸酯 |
| 英文名 | Propylene glycol monostearate |
| 别名 | Octadecanoic acid monoester with 1,2-propanediol; Stearic acid ester with 1,2-propanediol; 1,2-Propanediol monostearate ; 1,2-Propylene glycol monostearate; Aldo PGHMS; Atlas G 2158; Atlas G 922; Cerasynt PA; Cerasynt PN; Crill 26; Dragil P; EMP 1800; Emalex PGMS; Emcol PS 50; Emcol PS 50RHP; Emerest 2381 |
| 分子结构 | ![]() |
| 分子式 | C21H42O3 |
| 分子量 | 342.56 |
| CAS 登录号 | 1323-39-3 |
| EC 号码 | 215-354-3 |
| 熔点 | 44 °C |
|---|---|
| 危害分类 | |||||||||
|---|---|---|---|---|---|---|---|---|---|
| |||||||||
| SDS | 化学品安全技术说明书参考文本 | ||||||||
| 市场分析报告 |