全球化学品在线数据库

Erythromyclamine
[CAS 13368-00-8]

供应商
CAS#: 13368-00-8
产品: Erythromyclamine
暂时没有厂家供应该产品。
基本信息
产品名称 Erythromyclamine
英文名 Erythromyclamine
别名 (3R,4S,5S,6R,7R,9R,11S,12R,13S,14R)-10-Amino-6-[(2S,3R,4S,6R)-4-Dimethylamino-3-Hydroxy-6-Methyl-Tetrahydropyran-2-Yl]Oxy-14-Ethyl-7,12,13-Trihydroxy-4-[(2R,4R,5S,6S)-5-Hydroxy-4-Methoxy-4,6-Dimethyl-Tetrahydropyran-2-Yl]Oxy-3,5,7,9,11,13-Hexamethyl-1-Oxacyclotetradecan-2-One; (3R,4S,5S,6R,7R,9R,11S,12R,13S,14R)-10-Amino-6-[[(2S,3R,4S,6R)-4-Dimethylamino-3-Hydroxy-6-Methyl-2-Tetrahydropyranyl]Oxy]-14-Ethyl-7,12,13-Trihydroxy-4-[[(2R,4R,5S,6S)-5-Hydroxy-4-Methoxy-4,6-Dimethyl-2-Tetrahydropyranyl]Oxy]-3,5,7,9,11,13-Hexamethyl-1-Oxacyclotetradecan-2-One; (3R,4S,5S,6R,7R,9R,11S,12R,13S,14R)-10-Amino-6-[(2S,3R,4S,6R)-4-Dimethylamino-3-Hydroxy-6-Methyl-Oxan-2-Yl]Oxy-14-Ethyl-7,12,13-Trihydroxy-4-[(2R,4R,5S,6S)-5-Hydroxy-4-Methoxy-4,6-Dimethyl-Oxan-2-Yl]Oxy-3,5,7,9,11,13-Hexamethyl-1-Oxacyclotetradecan-2-One
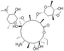
分子结构 CAS 登录号:13368-00-8, Erythromyclamine
分子式 C37H70N2O12
分子量 734.97
CAS 登录号 13368-00-8
分子行输入简码 SMILES [C@@H]3(O[C@@H]1O[C@@H](C[C@H](N(C)C)[C@H]1O)C)[C@H]([C@H](O[C@@H]2O[C@H]([C@H](O)[C@](OC)(C2)C)C)[C@H](C(O[C@@H]([C@@](O)([C@H](O)[C@H](C(N)[C@@H](C[C@]3(O)C)C)C)C)CC)=O)C)C
国际化学标识码 InChI 1S/C37H70N2O12/c1-14-25-37(10,45)30(41)20(4)27(38)18(2)16-35(8,44)32(51-34-28(40)24(39(11)12)15-19(3)47-34)21(5)29(22(6)33(43)49-25)50-26-17-36(9,46-13)31(42)23(7)48-26/h18-32,34,40-42,44-45H,14-17,38H2,1-13H3/t18-,19-,20+,21+,22-,23+,24+,25-,26+,27?,28-,29+,30-,31+,32-,34+,35-,36-,37-/m1/s1
国际化学标识检索码 InChIKey XCLJRCAJSCMIND-FRSXEBCHSA-N
物理化学性质
密度 1.196g/cm3 (计算值)
沸点 810.283°C at 760 mmHg (计算值)
闪点 443.843°C (计算值)
市场分析报告
相关产品
二油酰磷脂酰甘油钠盐  Erysenegalensei...  Erysotramidine;...  Erysubin A; 4-羟...  Erysubin B; (-)...  Erysulfoxide  Erythrinin C; 2...  Erythristemine;...  erythro-Canabis...  Erythrolosamine  Erythroxytriol ...  二元酯  1,3-二月桂基-2-甲基咪唑...  二月桂基己二酸酯  二月桂基马来酸酯  1,3-二月桂基柠檬酸盐  二月桂酸钡  二月桂酸二丁基锡; 二丁基二月...  二月桂酸二正辛基锡  二月桂酸钙