全球化学品在线数据库

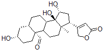
3beta,14,15beta-三羟基-19-氧代-5alpha-心甾-20(22)-烯内酯
[CAS 14155-65-8]

供应商
CAS#: 14155-65-8
产品: 3beta,14,15beta-三羟基-19-氧代-5alpha-心甾-20(22)-烯内酯
暂时没有厂家供应该产品。
基本信息
产品名称 3beta,14,15beta-三羟基-19-氧代-5alpha-心甾-20(22)-烯内酯
英文名 3beta,14,15beta-Trihydroxy-19-Oxo-5alpha-Card-20(22)-Enolide
别名 (3S,5S,10R,13R,14S,15R,17R)-3,14,15-Trihydroxy-13-Methyl-17-(5-Oxo-2H-Furan-3-Yl)-1,2,3,4,5,6,7,8,9,11,12,15,16,17-Tetradecahydrocyclopenta[A]Phenanthrene-10-Carboxaldehyde; (3S,5S,10R,13R,14S,15R,17R)-3,14,15-Trihydroxy-17-(5-Keto-2H-Furan-3-Yl)-13-Methyl-1,2,3,4,5,6,7,8,9,11,12,15,16,17-Tetradecahydrocyclopenta[A]Phenanthrene-10-Carbaldehyde; Card-20(22)-Enolide, 19-Oxo-3,14,15-Trihydroxy-, (3-Beta,5-Alpha,15-Beta)-
分子结构 CAS 登录号:14155-65-8, 3beta,14,15beta-三羟基-19-氧代-5alpha-心甾-20(22)-烯内酯
分子式 C23H32O6
分子量 404.50
CAS 登录号 14155-65-8
分子行输入简码 SMILES [C@]24([C@@]([C@@H](C1=CC(=O)OC1)C[C@H]2O)(CCC5[C@]3(CC[C@@H](C[C@@H]3CCC45)O)C=O)C)O
国际化学标识码 InChI 1S/C23H32O6/c1-21-6-5-16-17(3-2-14-9-15(25)4-7-22(14,16)12-24)23(21,28)19(26)10-18(21)13-8-20(27)29-11-13/h8,12,14-19,25-26,28H,2-7,9-11H2,1H3/t14-,15-,16?,17?,18+,19+,21+,22+,23+/m0/s1
国际化学标识检索码 InChIKey QJKATDKDXQSALV-UFJODQJQSA-N
物理化学性质
密度 1.406g/cm3 (计算值)
沸点 606.05°C at 760 mmHg (计算值)
闪点 209.192°C (计算值)
市场分析报告
相关产品
11alpha,17,21-三...  (11alpha,16alph...  3beta,20,25-三羟基...  (8S,9S,10R,11S,...  (1S,3S,5Z,7R,8E...  (1S,3S,5Z,7R,8E...  (1S,3S,5Z,7R,8E...  (3R,5R,7R,8R,9S...  3beta,5beta,17b...  5,6,7-三羟基-18-甲基...  (3beta,5beta)-3...  (3beta,5beta,16...  3beta,5,14-三羟基-...  2beta,3beta,4aa...  4,6,7-三羟基-1H-环庚...  [(3R,4R,5S)-3,4...  5,6,7-三羟基-1H-吲哚...  3,6,8-三羟基-1-甲基-...  4,6,7-三羟基-1-萘甲醛  2,7,8-三羟基-1-萘甲醛