全球化学品在线数据库

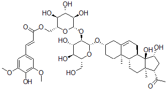
3beta,14beta,15beta-三羟基孕甾-5-烯-20-酮-3-O-beta-D-(6-芥子酰基)吡喃葡萄糖基(1-2)-beta-D-吡喃葡萄糖苷
[CAS 145701-08-2]

供应商
CAS#: 145701-08-2
产品: 3beta,14beta,15beta-三羟基孕甾-5-烯-20-酮-3-O-beta-D-(6-芥子酰基)吡喃葡萄糖基(1-2)-beta-D-吡喃葡萄糖苷
暂时没有厂家供应该产品。
基本信息
产品名称 3beta,14beta,15beta-三羟基孕甾-5-烯-20-酮-3-O-beta-D-(6-芥子酰基)吡喃葡萄糖基(1-2)-beta-D-吡喃葡萄糖苷
英文名 3beta,14beta,15beta-Trihydroxypregn-5-en-20-one-3-O-beta-D-(6-sinapoyl)glucopyranosyl(1-2)-beta-D-glucopyranoside
别名 [(2R,3S,4S,5R,6S)-6-[(2R,3R,4S,5S,6R)-2-[[(3S,8R,9S,10R,13R,14S,15R,17S)-17-Acetyl-14,15-Dihydroxy-10,13-Dimethyl-1,2,3,4,7,8,9,11,12,15,16,17-Dodecahydrocyclopenta[A]Phenanthren-3-Yl]Oxy]-4,5-Dihydroxy-6-(Hydroxymethyl)Tetrahydropyran-3-Yl]Oxy-3,4,5-Trihydroxy-Tetrahydropyran-2-Yl]Methyl (E)-3-(4-Hydroxy-3,5-Dimethoxy-Phenyl)Prop-2-Enoate; (E)-3-(4-Hydroxy-3,5-Dimethoxyphenyl)Prop-2-Enoic Acid [(2R,3S,4S,5R,6S)-6-[[(2R,3R,4S,5S,6R)-2-[[(3S,8R,9S,10R,13R,14S,15R,17S)-17-Acetyl-14,15-Dihydroxy-10,13-Dimethyl-1,2,3,4,7,8,9,11,12,15,16,17-Dodecahydrocyclopenta[A]Phenanthren-3-Yl]Oxy]-4,5-Dihydroxy-6-(Hydroxymethyl)-3-Tetrahydropyranyl]Oxy]-3,4,5-Trihydroxy-2-Tetrahydropyranyl]Methyl Ester; (E)-3-(4-Hydroxy-3,5-Dimethoxy-Phenyl)Acrylic Acid [(2R,3S,4S,5R,6S)-6-[(2R,3R,4S,5S,6R)-2-[[(3S,8R,9S,10R,13R,14S,15R,17S)-17-Acetyl-14,15-Dihydroxy-10,13-Dimethyl-1,2,3,4,7,8,9,11,12,15,16,17-Dodecahydrocyclopenta[A]Phenanthren-3-Yl]Oxy]-4,5-Dihydroxy-6-Methylol-Tetrahydropyran-3-Yl]Oxy-3,4,5-Trihydroxy-Tetrahydropyran-2-Yl]Methyl Ester
分子结构 CAS 登录号:145701-08-2, 3beta,14beta,15beta-三羟基孕甾-5-烯-20-酮-3-O-beta-D-(6-芥子酰基)吡喃葡萄糖基(1-2)-beta-D-吡喃葡萄糖苷
分子式 C44H62O18
分子量 878.96
CAS 登录号 145701-08-2
分子行输入简码 SMILES [C@@]67(O)[C@H]1[C@@H]([C@@]5(C(=CC1)C[C@@H](O[C@@H]2O[C@@H]([C@@H](O)[C@H](O)[C@H]2O[C@@H]3O[C@@H]([C@@H](O)[C@H](O)[C@H]3O)COC(=O)\C=C\C4=CC(=C(O)C(=C4)OC)OC)CO)CC5)C)CC[C@@]6([C@H](C[C@H]7O)C(=O)C)C
国际化学标识码 InChI 1S/C44H62O18/c1-20(46)26-17-31(47)44(55)25-8-7-22-16-23(10-12-42(22,2)24(25)11-13-43(26,44)3)59-41-39(37(53)34(50)29(18-45)60-41)62-40-38(54)36(52)35(51)30(61-40)19-58-32(48)9-6-21-14-27(56-4)33(49)28(15-21)57-5/h6-7,9,14-15,23-26,29-31,34-41,45,47,49-55H,8,10-13,16-19H2,1-5H3/b9-6+/t23-,24-,25+,26+,29+,30+,31+,34+,35+,36-,37-,38+,39+,40-,41+,42-,43+,44+/m0/s1
国际化学标识检索码 InChIKey SDTRDZCVVFORLC-HASDMLKASA-N
物理化学性质
密度 1.47g/cm3 (计算值)
沸点 1016.837°C at 760 mmHg (计算值)
闪点 298.343°C (计算值)
市场分析报告
相关产品
11beta,17,21-三羟...  11beta,17,21-三羟...  11beta,17,21-三羟...  11beta,17,21-三羟...  11alpha,17,21-三...  (11beta)-11,17,...  17,20,21-三羟基孕甾-...  (11beta,20R)-11...  (3b,15b)-3,15,1...  3-beta,17-alpha...  11,17,21-三羟基-孕甾...  11,17,21-三羟基-孕甾...  (11alpha)-11alp...  3,15,17-三羟基孕甾烷-...  (3.beta.,5.alph...  (3beta,5alpha)-...  3,6,9-三羟基紫檀素  三羟水杨胺  4',6,7-三羟异黄酮  三羟乙基氨基纤维素