| 上海昊航化工有限公司 | 中国 | |||
|---|---|---|---|---|
![]() | www.hohance.com | |||
![]() | +86 (21) 3111-5312 | |||
![]() | +86 (21) 3111-5317 | |||
![]() | info@hohance.com | |||
| 化学品生产商 | ||||
| chemBlink 标准供应商 (2011年起) | ||||
| Medilink Pharmachem | 印度 | |||
|---|---|---|---|---|
![]() | www.medilinkpharma.com | |||
![]() | +91 (79) 3007-0133 | |||
![]() | +91 (79) 4007-4175 | |||
![]() | exports@medilinkpharma.com | |||
| 化学品供销商 (1996年起) | ||||
| chemBlink 标准供应商 (2014年起) | ||||
| 利伟国际有限公司 | 香港 | |||
|---|---|---|---|---|
![]() | www.leawell.com.cn | |||
![]() | +852 2576-0298 | |||
![]() | +852 2895-4635 | |||
![]() | enquiry@leawell.com.hk | |||
| 化学品供销商 | ||||
| Aronis | RUSSIA | |||
|---|---|---|---|---|
![]() | www.aronis.ru | |||
![]() | +7 (926) 578-0336 | |||
![]() | +7 (495) 426-5336 | |||
![]() | rakishev@aronis.ru | |||
| 化学品生产商 | ||||
| 产品分类 | 原料药 >> 抗生素类药物 |
|---|---|
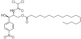
| 产品名称 | 氯霉素硬脂酸酯 |
| 英文名 | Eusynthomycin |
| 别名 | Levomycetin stearate; Chloroamphenicol stearate; [(2R,3R)-2-[(2,2-Dichloroacetyl)amino]-3-hydroxy-3-(4-nitrophenyl)propyl] octadecanoate |
| 分子结构 | ![]() |
| 分子式 | C29H46Cl2N2O6 |
| 分子量 | 589.59 |
| CAS 登录号 | 16255-48-4 |
| EC 号码 | 240-363-4 |
| 危害分类 | |||||||||
|---|---|---|---|---|---|---|---|---|---|
| |||||||||
| SDS | 化学品安全技术说明书参考文本 | ||||||||
| 市场分析报告 |