全球化学品在线数据库

尿苷二磷酸酯葡萄糖胺
[CAS 17479-04-8]

供应商
CAS#: 17479-04-8
产品: 尿苷二磷酸酯葡萄糖胺
暂时没有厂家供应该产品。
基本信息
产品名称 尿苷二磷酸酯葡萄糖胺
英文名 Udp-Glucosamine
别名 [(2R,3R,4R,5S,6R)-3-Amino-4,5-Dihydroxy-6-(Hydroxymethyl)Tetrahydropyran-2-Yl] [[(2R,3S,4R,5R)-5-(2,4-Dioxopyrimidin-1-Yl)-3,4-Dihydroxy-Tetrahydrofuran-2-Yl]Methoxy-Hydroxy-Phosphoryl] Hydrogen Phosphate; [(2R,3R,4R,5S,6R)-3-Amino-4,5-Dihydroxy-6-(Hydroxymethyl)-2-Tetrahydropyranyl] [[(2R,3S,4R,5R)-5-(2,4-Dioxo-1-Pyrimidinyl)-3,4-Dihydroxy-2-Tetrahydrofuranyl]Methoxy-Hydroxyphosphoryl] Hydrogen Phosphate; [(2R,3R,4R,5S,6R)-3-Amino-4,5-Dihydroxy-6-Methylol-Tetrahydropyran-2-Yl] [[(2R,3S,4R,5R)-5-(2,4-Diketopyrimidin-1-Yl)-3,4-Dihydroxy-Tetrahydrofuran-2-Yl]Methoxy-Hydroxy-Phosphoryl] Hydrogen Phosphate
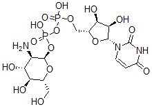
分子结构 CAS 登录号:17479-04-8, 尿苷二磷酸酯葡萄糖胺
分子式 C15H25N3O16P2
分子量 565.32
CAS 登录号 17479-04-8
分子行输入简码 SMILES [C@H]1(O[C@@H]([C@@H](O)[C@H]1O)CO[P](O[P](O[C@H]2O[C@@H]([C@@H](O)[C@H](O)[C@H]2N)CO)(=O)O)(=O)O)N3C(=O)NC(=O)C=C3
国际化学标识码 InChI 1S/C15H25N3O16P2/c16-8-11(23)9(21)5(3-19)32-14(8)33-36(28,29)34-35(26,27)30-4-6-10(22)12(24)13(31-6)18-2-1-7(20)17-15(18)25/h1-2,5-6,8-14,19,21-24H,3-4,16H2,(H,26,27)(H,28,29)(H,17,20,25)/t5-,6-,8-,9-,10-,11-,12-,13-,14-/m1/s1
国际化学标识检索码 InChIKey CYKLRRKFBPBYEI-NQQHDEILSA-N
物理化学性质
密度 1.933g/cm3 (计算值)
市场分析报告
相关产品
鸟苷二磷酸酯 N-氯乙酰基腙  尿苷二磷酸酯 N-乙酰基-D-...  尿苷二磷酸酯 N-乙酰基-D-...  尿苷二磷酸酯 N-乙酰基甘露糖...  鸟苷二磷酸酯-4-脱氧甘露糖  尿苷二磷酸酯阿拉伯糖  尿苷二磷酸酯半乳糖胺  尿苷二磷酸酯甘露糖  尿苷二磷酸酯-GlcNaz  尿苷二磷酸酯N-乙酰基-D-半...  尿苷-二磷酸酯-葡萄糖醛酸三铵...  尿苷二磷酰-N-乙酰基葡萄糖胺...  鸟苷二磷酰岩藻糖  鸟苷二醛  鸟苷环-3',5'-(磷酸氢酯...  尿苷环-3',5'-(磷酸氢酯...  尿苷焦磷酰葡萄糖醛酸  尿苷-L-阿拉伯糖  尿苷磷酸酯-beta-硫代磷酸...  尿苷氯乙酰甲醇 5'-二磷酸酯