全球化学品在线数据库

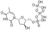
胸苷5'-O-(1-硫代三磷酸酯)
[CAS 18883-94-8]

供应商
Achemica 瑞士
+41 (24) 466-2929
contact@achemica.com
化学品生产商(2010 年起)
基本信息
产品名称 胸苷5'-O-(1-硫代三磷酸酯)
英文名 Thymidine 5'-O-(1-Thiotriphosphate)
别名 [Hydroxy-[[(2R,3S,5R)-3-Hydroxy-5-(5-Methyl-2,4-Dioxo-Pyrimidin-1-Yl)Tetrahydrofuran-2-Yl]Methoxy]Phosphinothioyl] Phosphono Hydrogen Phosphate; [Hydroxy-[[(2R,3S,5R)-3-Hydroxy-5-(5-Methyl-2,4-Dioxo-1-Pyrimidinyl)-2-Tetrahydrofuranyl]Methoxy]Phosphinothioyl] Phosphono Hydrogen Phosphate; [[(2R,3S,5R)-5-(2,4-Diketo-5-Methyl-Pyrimidin-1-Yl)-3-Hydroxy-Tetrahydrofuran-2-Yl]Methoxy-Hydroxy-Thiophosphoryl] Phosphono Hydrogen Phosphate
分子结构 CAS 登录号:18883-94-8, 胸苷5'-O-(1-硫代三磷酸酯)
分子式 C10H17N2O13P3S
分子量 498.23
CAS 登录号 18883-94-8
分子行输入简码 SMILES [C@@H]1(CO[P](O)(O[P](=O)(O)O[P](=O)(O)O)=S)[C@@H](O)C[C@@H](O1)N2C(=O)NC(=O)C(=C2)C
国际化学标识码 InChI 1S/C10H17N2O13P3S/c1-5-3-12(10(15)11-9(5)14)8-2-6(13)7(23-8)4-22-28(21,29)25-27(19,20)24-26(16,17)18/h3,6-8,13H,2,4H2,1H3,(H,19,20)(H,21,29)(H,11,14,15)(H2,16,17,18)/t6-,7+,8+,28?/m0/s1
国际化学标识检索码 InChIKey PXHHTOSRELKWOE-MXWQNOQOSA-N
物理化学性质
密度 1.926g/cm3 (计算值)
市场分析报告
相关产品
胸苷 5'-二磷酸酯 4-氧代...  胸苷 5'-O-特戊酸酯  胸苷 5'-三磷酸酯三钠盐  胸苷[2-14C]  胸苷-1',2',3',4',...  胸苷-2'-13C  胸苷-3',5'-二磷酸酯二钠...  胸苷-3’,5’-二(p-硝基...  胸苷-3'-13C  胸苷3'-苯甲酸酯  胸苷-5'-三磷酸  胸苷-5'-羧酸  胸苷-8-甲氧基补骨脂素四甲基...  胸苷-alpha,alpha,...  胸苷-alpha-14C  胸苷-d3  胸苷二磷酸酯-L-鼠李糖  胸苷环-3',5'-磷酸酯  胸苷基[3'-5']胸苷 氰基...  5'-O-胸苷基3'-O-胸苷...