全球化学品在线数据库

1-山慈菇甙B
[CAS 19870-33-8]

供应商
CAS#: 19870-33-8
产品: 1-山慈菇甙B
暂时没有厂家供应该产品。
基本信息
产品名称 1-山慈菇甙B
英文名 1-Tuliposide B
别名 [(2S,3R,4S,5S,6R)-3,4,5-Trihydroxy-6-(Hydroxymethyl)Tetrahydropyran-2-Yl] 3,4-Dihydroxy-2-Methylene-Butanoate; 3,4-Dihydroxy-2-Methylenebutanoic Acid [(2S,3R,4S,5S,6R)-3,4,5-Trihydroxy-6-(Hydroxymethyl)-2-Tetrahydropyranyl] Ester; 2-(1,2-Dihydroxyethyl)Acrylic Acid [(2S,3R,4S,5S,6R)-3,4,5-Trihydroxy-6-Methylol-Tetrahydropyran-2-Yl] Ester
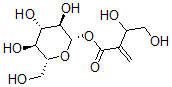
分子结构 CAS 登录号:19870-33-8, 1-山慈菇甙B
分子式 C11H18O9
分子量 294.26
CAS 登录号 19870-33-8
分子行输入简码 SMILES [C@H]1(O)[C@H](O)[C@@H](O)[C@@H](O[C@@H]1CO)OC(=O)C(C(O)CO)=C
国际化学标识码 InChI 1S/C11H18O9/c1-4(5(14)2-12)10(18)20-11-9(17)8(16)7(15)6(3-13)19-11/h5-9,11-17H,1-3H2/t5?,6-,7-,8+,9-,11+/m1/s1
国际化学标识检索码 InChIKey KVRQQFBSAHPTAB-FUYPYFFWSA-N
物理化学性质
密度 1.591g/cm3 (计算值)
沸点 618.479°C at 760 mmHg (计算值)
闪点 238.14°C (计算值)
市场分析报告
相关产品
山苍子提取物  山苍子油; 木姜子油; 山胡椒...  山茶苷 A  山茶苷 A  山茶苷 B  山茶花油  山楂酸; 马斯里酸; (2al...  山茶皂甙元 A  山慈菇甙A  6-山慈菇甙A  Shancigusin I  (+)-山达海松二烯  山达海松酸  山达胶  alpha-山道年  (-)-山豆根素  20(29)-扇豆烯-3,23...  钐二氯化物  山芬霉素  山岗橐吾碱