全球化学品在线数据库

L-丙氨酰-L-亮氨酰-L-alpha-天冬氨酰-L-缬氨酰-L-酪氨酰-L-天冬氨酰胺酰甘氨酰-L-亮氨酰-L-亮氨酸
[CAS 201935-76-4]

供应商目录
Creative Peptides 美国
www.creative-peptides.com
+1 (631) 624-4882
+1 (631) 614-7828
info@creative-peptides.com
化学品生产商
chemBlink 标准供应商 (2010年起)

基本信息
产品分类生物化工 >> 多肽
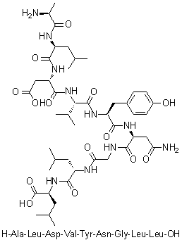
产品名称L-丙氨酰-L-亮氨酰-L-alpha-天冬氨酰-L-缬氨酰-L-酪氨酰-L-天冬氨酰胺酰甘氨酰-L-亮氨酰-L-亮氨酸
英文名L-Alanyl-L-leucyl-L-alpha-aspartyl-L-valyl-L-tyrosyl-L-asparaginylglycyl-L-leucyl-L-leucine
分子结构L-丙氨酰-L-亮氨酰-L-alpha-天冬氨酰-L-缬氨酰-L-酪氨酰-L-天冬氨酰胺酰甘氨酰-L-亮氨酰-L-亮氨酸分子结构 (CAS 201935-76-4)
分子式C45H72N10O14
分子量977.11
蛋白质序列1-9 ALDVYNGLL$$nl$$[9-E-OH;]
CAS 登录号201935-76-4
物理化学性质
溶解度微溶 (3.6 g/L) (25 °C), 计算值*
密度1.257±0.06 g/cm3 (20 °C 760 Torr), 计算值*
*使用计算机软件 Advanced Chemistry Development (ACD/Labs) Software V11.02 (©1994-2016 ACD/Labs)
市场分析报告
相关产品
(2S)-beta-丙氨酰-L...  (2S)-β-丙氨酰-L-脯氨...  N-L-丙氨酰-L-谷氨酸二(...  N-L-丙氨酰-L-谷氨酸二(...  D-丙氨酰-L-谷氨酰胺十八烷...  beta-丙氨酰亮氨酸  DL-丙氨酰-DL-亮氨酸  L-丙氨酰-L-亮氨酸  D-丙氨酰-D-亮氨酸  丙氨酰-亮氨酸甲酯盐酸盐  L-丙氨酰-L-亮氨酰-L-半...  L-丙氨酰-L-亮氨酰-L-苯...  丙氨酰-亮氨酰-丙氨酰-亮氨酸  丙氨酰-亮氨酰-丙氨酰-亮氨酰...  L-丙氨酰-L-亮氨酰-L-脯...  丙氨酰亮氨酰甘氨酸  L-丙氨酰-L-亮氨酰甘氨酰甘...  L-丙氨酰-L-亮氨酰-L-谷...  L-丙氨酰-L-亮氨酰-L-谷...  L-丙氨酰-L-亮氨酰-L-赖...