全球化学品在线数据库

二(四丁基铵) 顺式-双(异硫氰基)双(2,2'-联吡啶-4,4'-二羧酸)钌(II)
[CAS 207347-46-4]

供应商目录
HetCat - Heterocycles & Catalysts 瑞士
www.hetcat.com
+41 (61) 363-9868
+41 (61) 363-9869
fallahpour@hetcat.com
化学品生产商
Organica Feinchemie GmbH 德国
www.organica.de
+49 (3494) 63-6215
+49 (3494) 63-6165
dmi@weylchem-organica.com
化学品生产商

基本信息
产品分类医药中间体 >> 杂环化合物中间体 >> 吡啶类化合物 >> 氰基吡啶
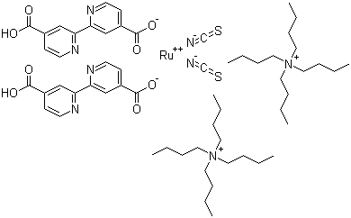
产品名称二(四丁基铵) 顺式-双(异硫氰基)双(2,2'-联吡啶-4,4'-二羧酸)钌(II)
英文名Di-tetrabutylammonium cis-bis(isothiocyanato)bis(2,2'-bipyridyl-4,4'-dicarboxylato)ruthenium(II)
分子结构二(四丁基铵) 顺式-双(异硫氰基)双(2,2'-联吡啶-4,4'-二羧酸)钌(II)分子结构 (CAS 207347-46-4)
分子式C58H86N8O8RuS2
分子量1188.55
CAS 登录号207347-46-4
EC 号码633-801-4
安全数据
危险品标志symbol   Xn  说明
危害标签R42/43  说明
防护标签S22;S36/37;S45  说明
危害分类
up    说明
危害分类类别码危害标签
呼吸道致敏Resp. Sens.1H334
皮肤致敏Skin Sens.1H317
对金属有腐蚀作用的物质或混合物Met. Corr.1H290
急性毒性Acute Tox.4H302
易燃固体Flam. Sol.2H228
急性毒性Acute Tox.4H332
眼刺激Eye Irrit.2H319
急性毒性Acute Tox.4H312
皮肤刺激Skin Irrit.2H315
对水生环境长期有害Aquatic Chronic4H413
SDS化学品安全技术说明书参考文本
市场分析报告
相关产品
4-[1-[[[5-[[4-[...  N-[5-[[4-[2,4-二...  2-[2,4-二(叔-戊基)苯...  2-[2,4-二(叔-戊基)苯...  3-[[[2,4-二(叔-戊基...  2,2-二(叔-戊基)环氧乙烷  2,2-二(叔戊基过氧)丁烷  1,1-二(叔戊基过氧基)环己...  二(四苯基鏻)四氰基-二-4-...  二(四丙基烯苯磺酸)钙  二(四甲基环戊二烯基)铬  二(四甲基环戊二烯基)镍  二(四甲基环戊二烯基)铁  二(四-N-丁基铵)二(马来二...  1,3-二(四氢-2-呋喃基)...  3,4-二(四氢吡喃-2-氧基...  二(四氢呋喃)硼化钙  二(四氢呋喃-2-基甲基)己二...  二(四氢糠基)癸二酸酯  二(四正丁基铵)过氧二硫酸盐