| Creative Peptides | 美国 | |||
|---|---|---|---|---|
![]() | www.creative-peptides.com | |||
![]() | +1 (631) 624-4882 | |||
![]() | +1 (631) 614-7828 | |||
![]() | info@creative-peptides.com | |||
| 化学品生产商 | ||||
| chemBlink 标准供应商 (2010年起) | ||||
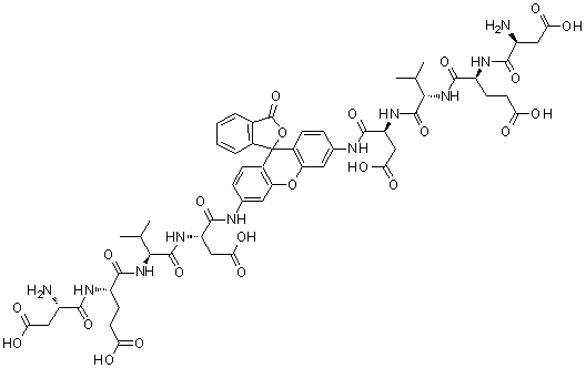
| 产品名称 | 4,4'-(3-氧代螺[异苯并呋喃-1(3H),9'-[9H]氧杂蒽]-3',6'-二基)二[L-alpha-天冬氨酰-L-alpha-谷氨酰-L-缬氨酰-L-alpha-天冬氨酰胺] |
|---|---|
| 英文名 | 4,4'-(3-Oxospiro[isobenzofuran-1(3H),9'-[9H]xanthene]-3',6'-diyl)bis[L-alpha-aspartyl-L-alpha-glutamyl-L-valyl-L-alpha-asparagine] |
| 分子结构 | ![]() |
| 分子式 | C56H66N10O23 |
| 分子量 | 1247.18 |
| CAS 登录号 | 220846-75-3 |
| 溶解度 | 几乎不溶 (0.047 g/L) (25 °C), 计算值* |
|---|---|
| 密度 | 1.56±0.1 g/cm3 (20 °C 760 Torr), 计算值* |
| * | 使用计算机软件 Advanced Chemistry Development (ACD/Labs) Software V11.02 (©1994-2016 ACD/Labs) |
| 市场分析报告 |