全球化学品在线数据库

1,1-二氯-2-甲基-2-戊基环丙烷
[CAS 24551-80-2]

供应商
Achemica 瑞士
+41 (24) 466-2929
contact@achemica.com
化学品生产商(2010 年起)
基本信息
产品名称 1,1-二氯-2-甲基-2-戊基环丙烷
英文名 1,1-Dichloro-2-Methyl-2-Pentylcyclopropane
别名 1,1-Dichloro-2-methyl-2-pentylcyclopropane #
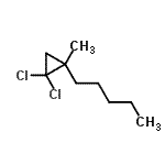
分子结构 CAS 登录号:24551-80-2, 1,1-二氯-2-甲基-2-戊基环丙烷
分子式 C9H16Cl2
分子量 195.13
CAS 登录号 24551-80-2
分子行输入简码 SMILES ClC1(Cl)CC1(CCCCC)C
国际化学标识码 InChI 1S/C9H16Cl2/c1-3-4-5-6-8(2)7-9(8,10)11/h3-7H2,1-2H3
国际化学标识检索码 InChIKey MBXBXUOEYXJICR-UHFFFAOYSA-N
物理化学性质
密度 1.068g/cm3 (计算值)
沸点 219.779°C at 760 mmHg (计算值)
闪点 70.254°C (计算值)
折射率 1.474 (计算值)
市场分析报告
相关产品
4,5-二氯-2-甲基-1H-...  4,5-二氯-2-甲基-1H-...  4,5-二氯-2-甲基-1H-...  5,6-二氯-2-甲基-1H-...  1,1-二氯-2-甲基-2-(...  1,1-二氯-2-甲基-2-(...  5,7-二氯-2-甲基-2,3...  1,4-二氯-2-甲基-2-丁...  4,6-二氯-2-甲基-2H-...  4,5-二氯-2-甲基-2H-...  4,5-二氯-2-甲基-3(2...  1,1-二氯-2-甲基-3-(...  6,7-二氯-2-甲基-3-(...  4,6-二氯-2-甲基-3-吡...  4-(4,8-二氯-2-甲基-...  5,7-二氯-2-甲基-3-喹...  1,1-二氯-2-甲基-3-戊...  6,8-二氯-2-甲基-4(1...  3,5-二氯-2-甲基-4-吡...  4,5-二氯-2-甲基-4-环...