全球化学品在线数据库

2-[(三甲基硅烷基)氧基]-1,3-丙烷二基二(2-甲基丙烯酸酯)
[CAS 247244-66-2]

供应商
Alfa Chemistry 美国
+1 (201) 478-8534
inquiry@alfa-chemistry.com
化学品供销商(2012 年起)
chemBlink 标准供应商(2012 年起)
BOC Sciences 美国
+1 (631) 485-4226
info@bocsci.com
Skype 聊天
化学品供销商
chemBlink 集群供应商(2012 年起)
Gelest, Inc. 美国
+1 (215) 547-1015
info@gelest.com
化学品生产商
基本信息
产品名称 2-[(三甲基硅烷基)氧基]-1,3-丙烷二基二(2-甲基丙烯酸酯)
英文名 2-[(Trimethylsilyl)Oxy]-1,3-Propanediyl Bis(2-Methylacrylate)
别名 1,3-Bis(methacryloxy)-2-trimethylsiloxypropaneinhibited with MEHQ; 2-[(Trimethylsilyl)oxy]propan-1,3-diylbis(2-methylacrylat); 2-[(trimethylsilyl)oxy]propane-1,3-diyl bis(2-methylacrylate)
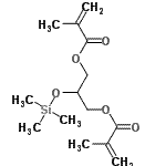
分子结构 CAS 登录号:247244-66-2, 2-[(三甲基硅烷基)氧基]-1,3-丙烷二基二(2-甲基丙烯酸酯)
分子式 C14H24O5Si
分子量 300.42
CAS 登录号 247244-66-2
分子行输入简码 SMILES C[Si](C)(C)OC(COC(=O)C(C)=C)COC(=O)C(C)=C
国际化学标识码 InChI 1S/C14H24O5Si/c1-10(2)13(15)17-8-12(19-20(5,6)7)9-18-14(16)11(3)4/h12H,1,3,8-9H2,2,4-7H3
国际化学标识检索码 InChIKey OSCFXCTVDHAMJL-UHFFFAOYSA-N
物理化学性质
密度 1.005g/cm3 (计算值)
沸点 341.88°C at 760 mmHg (计算值)
闪点 133.45°C (计算值)
折射率 1.448 (计算值)
市场分析报告
相关产品
(R)-1-(三甲基硅烷基)十...  (S,E)-1-(三甲基硅烷基...  3-(三甲基硅烷基)双环[3....  (S)-1-(三甲基硅烷基)戊...  (R)-1-(三甲基硅烷基)戊...  (S)-1-(三甲基硅烷基)辛...  (R)-1-(三甲基硅烷基)辛...  (R,E)-1-(三甲基硅烷基...  (S,E)-1-(三甲基硅烷基...  N-(三甲基硅烷基)-亚胺乙酸...  6-[(三甲基硅烷基)氧基]-...  4-[(三甲基硅烷基)氧基]-...  (2E)-3-[(三甲基硅烷基...  [3-[(三甲基硅烷基)氧基]...  3-[(三甲基硅烷基)氧基]-...  3-[(三甲基硅烷基)氧基]-...  4-[(三甲基硅烷基)氧基]-...  5-[(三甲基硅烷基)氧基]-...  (1R,2R,5S)-2-[(...  (1R,2S,5S)-2-[(...