基本信息
| 产品名称 |
D-泛酸 4'-O-beta-葡糖苷 |
| 英文名 |
D-Pantothenic Acid 4'-O-beta-Glucoside |
| 别名 |
3-[[2-Hydroxy-3,3-Dimethyl-4-[(2R,3R,4S,5S,6R)-3,4,5-Trihydroxy-6-(Hydroxymethyl)Tetrahydropyran-2-Yl]Oxy-Butanoyl]Amino]Propanoic Acid; 3-[[2-Hydroxy-3,3-Dimethyl-1-Oxo-4-[[(2R,3R,4S,5S,6R)-3,4,5-Trihydroxy-6-(Hydroxymethyl)-2-Tetrahydropyranyl]Oxy]Butyl]Amino]Propanoic Acid; 3-[[2-Hydroxy-3,3-Dimethyl-4-[(2R,3R,4S,5S,6R)-3,4,5-Trihydroxy-6-Methylol-Tetrahydropyran-2-Yl]Oxy-Butanoyl]Amino]Propionic Acid |
|
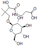
| 分子结构 |
 |
| 分子式 |
C15H27NO10 |
| 分子量 |
381.38 |
| CAS 登录号 |
29588-37-2 |
| 分子行输入简码 SMILES |
[C@H]1(OCC(C(C(NCCC(=O)O)=O)O)(C)C)[C@H](O)[C@@H](O)[C@H](O)[C@H](O1)CO |
| 国际化学标识码 InChI |
1S/C15H27NO10/c1-15(2,12(23)13(24)16-4-3-8(18)19)6-25-14-11(22)10(21)9(20)7(5-17)26-14/h7,9-12,14,17,20-23H,3-6H2,1-2H3,(H,16,24)(H,18,19)/t7-,9-,10+,11-,12?,14-/m1/s1 |
| 国际化学标识检索码 InChIKey |
GMURXYJSTRMISD-GRBZJBESSA-N |
|