全球化学品在线数据库

四季戊四醇十硝酸酯
[CAS 31206-33-4]

供应商目录
BOC Sciences 美国
www.bocsci.com
+1 (631) 485-4226
+1 (631) 614-7828
info@bocsci.com
化学品生产商
chemBlink 标准供应商 (2010年起)

基本信息
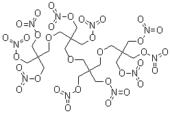
产品名称四季戊四醇十硝酸酯
英文名Tetrapentaerythritol decanitrate
分子结构四季戊四醇十硝酸酯分子结构 (CAS 31206-33-4)
分子式C20H32N10O33
分子量940.52
CAS 登录号31206-33-4
物理化学性质
溶解度不溶 (2.9E-7 g/L) (25 °C), 计算值*
密度1.651±0.06 g/cm3 (20 °C 760 Torr), 计算值*
熔点90 °C**
*使用计算机软件 Advanced Chemistry Development (ACD/Labs) Software V11.02 (©1994-2013 ACD/Labs)
**Faubion, Billy D.
市场分析报告
相关产品
1,1,2,2-四甲氧基乙烷  四己基铵  四己基铵苯甲酸盐  四己基铵磷酸二氢盐  四己基硫酸氢铵  四己基氯化铵  四己基溴化铵  四己基锡烷  四己基原硅酸酯  四己基锗  四聚(五甲基环戊二烯基)氯化钌...  四聚丙烯  四聚甘油  四聚甘油醚  四聚甘油硬脂酸酯  四聚赖氨酸  四聚磷酸鈉  四聚乙二醇单癸醚  四聚乙二醇单十八烷基醚  四聚乙二醇单辛醚